반응형
Uncertainty-Aware Learning for Zero-Shot Semantic Segmentation
PDF, Zero-Shot Segmentation, Xizhou et al, neurips 2020
Summary
논문에서 지적하는 문제점

(1) training set에 noise가 존재
왜? 이상치와 사람의 어노테이션 때문에
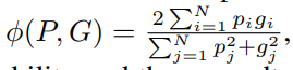
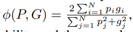
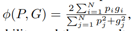
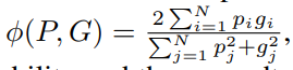
(2) 각 pixel을 다루는 것은 global information이 손실됌 따라서 이미지 단위로 학습할 수 있는 loss 제안

개선 방법
uncertainty를 측정할 수 있는 통계값을 얻어서 loss로 준다

pixel level loss


image level loss



my github
Seonghoon-Yu/Paper_Review_and_Implementation_in_PyTorch
공부 목적으로 논문을 리뷰하고 해당 논문 파이토치 재구현을 합니다. Contribute to Seonghoon-Yu/Paper_Review_and_Implementation_in_PyTorch development by creating an account on GitHub.
github.com
반응형