pix2pix를 구현한 후 facade dataset로 학습한 generator이 생성한 가짜 이미지를 확인해보겠습니다.
논문 리뷰는 아래 포스팅에서 확인하실 수 있습니다.
[논문 읽기] 구현 코드로 살펴보는 Pix2Pix(2016), Image-to-Image Translation with Conditional Adversarial Networks
PyTorch 코드와 함께 Pix2Pix를 살펴보도록 하겠습니다. Pix2Pix는 image를 image로 변환하도록 generator을 학습합니다. 예를 들어, generator의 입력값으로 스케치 그림을 입력하면 완성된 그림이 나오도
deep-learning-study.tistory.com
전체 코드는 아래 깃허브에서 확인하실 수 있습니다.
Seonghoon-Yu/Paper_Review_and_Implementation_in_PyTorch
공부 목적으로 논문을 리뷰하고 파이토치로 구현하고 있습니다. Contribute to Seonghoon-Yu/Paper_Review_and_Implementation_in_PyTorch development by creating an account on GitHub.
github.com
목차
1. facade dataset 불러오기
2. 모델 구축하기
3. 학습하기
4. generator이 생성한 가짜 이미지 확인하기
1. facade dataset 불러오기
우선, 필요한 라이브러리를 불러옵니다.
from os import listdir
from os.path import join
import random
import matplotlib.pyplot as plt
%matplotlib inline
import os
import time
from PIL import Image
import torch
import torch.nn as nn
from torch.utils.data import Dataset
from torch.utils.data import DataLoader
import torchvision.transforms as transforms
from torchvision.transforms.functional import to_pil_image
device = torch.device('cuda' if torch.cuda.is_available() else 'cpu')
git hub에 업로드되어 있는 facade dataset을 다운로드 받습니다.
!git clone https://github.com/mrzhu-cool/pix2pix-pytorch # 깃 클론
!mkdir 'data' # 폴더 생성
!unzip /content/pix2pix-pytorch/dataset/facades.zip -d /content/data; # 압축 풀기
custom dataset을 생성합니다.
# Costum dataset 생성
class FacadeDataset(Dataset):
def __init__(self, path2img, direction='b2a', transform=False):
super().__init__()
self.direction = direction
self.path2a = join(path2img, 'a')
self.path2b = join(path2img, 'b')
self.img_filenames = [x for x in listdir(self.path2a)]
self.transform = transform
def __getitem__(self, index):
a = Image.open(join(self.path2a, self.img_filenames[index])).convert('RGB')
b = Image.open(join(self.path2b, self.img_filenames[index])).convert('RGB')
if self.transform:
a = self.transform(a)
b = self.transform(b)
if self.direction == 'b2a':
return b,a
else:
return a,b
def __len__(self):
return len(self.img_filenames)
transforms를 정의합니다.
# transforms 정의
transform = transforms.Compose([
transforms.ToTensor(),
transforms.Normalize([0.5,0.5,0.5],[0.5,0.5,0.5]),
transforms.Resize((256,256))
])
데이터셋을 불러옵니다.
# 데이터셋 불러오기
path2img = '/content/data/facades/train'
train_ds = FacadeDataset(path2img, transform=transform)
샘플 이미지를 확인합니다.
# 샘플 이미지 확인하기
a,b = train_ds[0]
plt.figure(figsize=(10,10))
plt.subplot(1,2,1)
plt.imshow(to_pil_image(0.5*a+0.5))
plt.axis('off')
plt.subplot(1,2,2)
plt.imshow(to_pil_image(0.5*b+0.5))
plt.axis('off')

pix2pix의 목표는 generator이 왼쪽 그림을 입력받아 오른쪽 그림을 생성하도록 하는 것입니다.
데이터 로더를 생성합니다.
# 데이터 로더 생성하기
train_dl = DataLoader(train_ds, batch_size=32, shuffle=True)
2. 모델 구축하기
(1) generator
pix2pix의 generator은 UNet 구조로 설계합니다.
# UNet
class UNetDown(nn.Module):
def __init__(self, in_channels, out_channels, normalize=True, dropout=0.0):
super().__init__()
layers = [nn.Conv2d(in_channels, out_channels, 4, stride=2, padding=1, bias=False)]
if normalize:
layers.append(nn.InstanceNorm2d(out_channels)),
layers.append(nn.LeakyReLU(0.2))
if dropout:
layers.append(nn.Dropout(dropout))
self.down = nn.Sequential(*layers)
def forward(self, x):
x = self.down(x)
return x
# check
x = torch.randn(16, 3, 256,256, device=device)
model = UNetDown(3,64).to(device)
down_out = model(x)
print(down_out.shape)

class UNetUp(nn.Module):
def __init__(self, in_channels, out_channels, dropout=0.0):
super().__init__()
layers = [
nn.ConvTranspose2d(in_channels, out_channels,4,2,1,bias=False),
nn.InstanceNorm2d(out_channels),
nn.LeakyReLU()
]
if dropout:
layers.append(nn.Dropout(dropout))
self.up = nn.Sequential(*layers)
def forward(self,x,skip):
x = self.up(x)
x = torch.cat((x,skip),1)
return x
# check
x = torch.randn(16, 128, 64, 64, device=device)
model = UNetUp(128,64).to(device)
out = model(x,down_out)
print(out.shape)

generator
# generator: 가짜 이미지를 생성합니다.
class GeneratorUNet(nn.Module):
def __init__(self, in_channels=3, out_channels=3):
super().__init__()
self.down1 = UNetDown(in_channels, 64, normalize=False)
self.down2 = UNetDown(64,128)
self.down3 = UNetDown(128,256)
self.down4 = UNetDown(256,512,dropout=0.5)
self.down5 = UNetDown(512,512,dropout=0.5)
self.down6 = UNetDown(512,512,dropout=0.5)
self.down7 = UNetDown(512,512,dropout=0.5)
self.down8 = UNetDown(512,512,normalize=False,dropout=0.5)
self.up1 = UNetUp(512,512,dropout=0.5)
self.up2 = UNetUp(1024,512,dropout=0.5)
self.up3 = UNetUp(1024,512,dropout=0.5)
self.up4 = UNetUp(1024,512,dropout=0.5)
self.up5 = UNetUp(1024,256)
self.up6 = UNetUp(512,128)
self.up7 = UNetUp(256,64)
self.up8 = nn.Sequential(
nn.ConvTranspose2d(128,3,4,stride=2,padding=1),
nn.Tanh()
)
def forward(self, x):
d1 = self.down1(x)
d2 = self.down2(d1)
d3 = self.down3(d2)
d4 = self.down4(d3)
d5 = self.down5(d4)
d6 = self.down6(d5)
d7 = self.down7(d6)
d8 = self.down8(d7)
u1 = self.up1(d8,d7)
u2 = self.up2(u1,d6)
u3 = self.up3(u2,d5)
u4 = self.up4(u3,d4)
u5 = self.up5(u4,d3)
u6 = self.up6(u5,d2)
u7 = self.up7(u6,d1)
u8 = self.up8(u7)
return u8
# check
x = torch.randn(16,3,256,256,device=device)
model = GeneratorUNet().to(device)
out = model(x)
print(out.shape)

(2) discriminator
pix2pix의 discriminator은 patch gan을 사용합니다. patch gan은 입력 이미지를 여러개로 분할하여, 분할된 부분이 가짜인지 진짜인지 식별하는 것입니다. 분할하여 식별하면 high-frequency가 향상됩니다.
class Dis_block(nn.Module):
def __init__(self, in_channels, out_channels, normalize=True):
super().__init__()
layers = [nn.Conv2d(in_channels, out_channels, 3, stride=2, padding=1)]
if normalize:
layers.append(nn.InstanceNorm2d(out_channels))
layers.append(nn.LeakyReLU(0.2))
self.block = nn.Sequential(*layers)
def forward(self, x):
x = self.block(x)
return x
# check
x = torch.randn(16,64,128,128,device=device)
model = Dis_block(64,128).to(device)
out = model(x)
print(out.shape)

# Discriminator은 patch gan을 사용합니다.
# Patch Gan: 이미지를 16x16의 패치로 분할하여 각 패치가 진짜인지 가짜인지 식별합니다.
# high-frequency에서 정확도가 향상됩니다.
class Discriminator(nn.Module):
def __init__(self, in_channels=3):
super().__init__()
self.stage_1 = Dis_block(in_channels*2,64,normalize=False)
self.stage_2 = Dis_block(64,128)
self.stage_3 = Dis_block(128,256)
self.stage_4 = Dis_block(256,512)
self.patch = nn.Conv2d(512,1,3,padding=1) # 16x16 패치 생성
def forward(self,a,b):
x = torch.cat((a,b),1)
x = self.stage_1(x)
x = self.stage_2(x)
x = self.stage_3(x)
x = self.stage_4(x)
x = self.patch(x)
x = torch.sigmoid(x)
return x
# check
x = torch.randn(16,3,256,256,device=device)
model = Discriminator().to(device)
out = model(x,x)
print(out.shape)

가중치를 초기화합니다.
# 가중치 초기화
def initialize_weights(model):
class_name = model.__class__.__name__
if class_name.find('Conv') != -1:
nn.init.normal_(model.weight.data, 0.0, 0.02)
# 가중치 초기화 적용
model_gen.apply(initialize_weights);
model_dis.apply(initialize_weights);
3. 학습하기
pix2pix의 손실 함수는 기존 gan의 손실함수에 L1 Loss를 추가합니다. 이유에 대해서는 논문 리뷰 포스팅에서 설명해두었습니다. 또한 patch를 기준으로 진짜, 가짜를 식별하므로 real, fake label을 생성할 때, 형태에 신경을 써야합니다.
# 손실함수
loss_func_gan = nn.BCELoss()
loss_func_pix = nn.L1Loss()
# loss_func_pix 가중치
lambda_pixel = 100
# patch 수
patch = (1,256//2**4,256//2**4)
# 최적화 파라미터
from torch import optim
lr = 2e-4
beta1 = 0.5
beta2 = 0.999
opt_dis = optim.Adam(model_dis.parameters(),lr=lr,betas=(beta1,beta2))
opt_gen = optim.Adam(model_gen.parameters(),lr=lr,betas=(beta1,beta2))
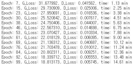
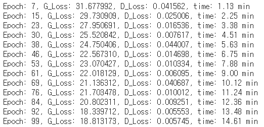
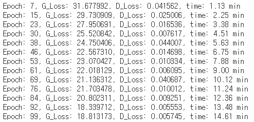
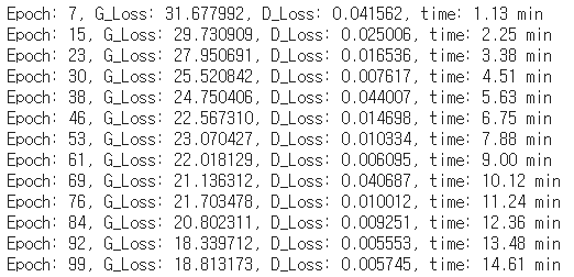
저는 100 epoch 학습하겠습니다.
# 학습
model_gen.train()
model_dis.train()
batch_count = 0
num_epochs = 100
start_time = time.time()
loss_hist = {'gen':[],
'dis':[]}
for epoch in range(num_epochs):
for a, b in train_dl:
ba_si = a.size(0)
# real image
real_a = a.to(device)
real_b = b.to(device)
# patch label
real_label = torch.ones(ba_si, *patch, requires_grad=False).to(device)
fake_label = torch.zeros(ba_si, *patch, requires_grad=False).to(device)
# generator
model_gen.zero_grad()
fake_b = model_gen(real_a) # 가짜 이미지 생성
out_dis = model_dis(fake_b, real_b) # 가짜 이미지 식별
gen_loss = loss_func_gan(out_dis, real_label)
pixel_loss = loss_func_pix(fake_b, real_b)
g_loss = gen_loss + lambda_pixel * pixel_loss
g_loss.backward()
opt_gen.step()
# discriminator
model_dis.zero_grad()
out_dis = model_dis(real_b, real_a) # 진짜 이미지 식별
real_loss = loss_func_gan(out_dis,real_label)
out_dis = model_dis(fake_b.detach(), real_a) # 가짜 이미지 식별
fake_loss = loss_func_gan(out_dis,fake_label)
d_loss = (real_loss + fake_loss) / 2.
d_loss.backward()
opt_dis.step()
loss_hist['gen'].append(g_loss.item())
loss_hist['dis'].append(d_loss.item())
batch_count += 1
if batch_count % 100 == 0:
print('Epoch: %.0f, G_Loss: %.6f, D_Loss: %.6f, time: %.2f min' %(epoch, g_loss.item(), d_loss.item(), (time.time()-start_time)/60))

loss history를 출력합니다.
# loss history
plt.figure(figsize=(10,5))
plt.title('Loss Progress')
plt.plot(loss_hist['gen'], label='Gen. Loss')
plt.plot(loss_hist['dis'], label='Dis. Loss')
plt.xlabel('batch count')
plt.ylabel('Loss')
plt.legend()
plt.show()

가중치를 저장합니다.
# 가중치 저장
path2models = './models/'
os.makedirs(path2models, exist_ok=True)
path2weights_gen = os.path.join(path2models, 'weights_gen.pt')
path2weights_dis = os.path.join(path2models, 'weights_dis.pt')
torch.save(model_gen.state_dict(), path2weights_gen)
torch.save(model_dis.state_dict(), path2weights_dis)
4. Generator이 생성한 가짜 이미지 확인하기
저장한 가중치를 불러옵니다.
# 가중치 불러오기
weights = torch.load(path2weights_gen)
model_gen.load_state_dict(weights)
가짜 이미지를 생성합니다.
# evaluation model
model_gen.eval()
# 가짜 이미지 생성
with torch.no_grad():
for a,b in train_dl:
fake_imgs = model_gen(a.to(device)).detach().cpu()
real_imgs = b
break
가짜 이미지를 시각화합니다.
# 가짜 이미지 시각화
plt.figure(figsize=(10,10))
for ii in range(0,16,2):
plt.subplot(4,4,ii+1)
plt.imshow(to_pil_image(0.5*real_imgs[ii]+0.5))
plt.axis('off')
plt.subplot(4,4,ii+2)
plt.imshow(to_pil_image(0.5*fake_imgs[ii]+0.5))
plt.axis('off')

학습이 더 필요하네요. 감사합니다.
코드는 아래 깃허브를 참고하여 구현했습니다.
[1] https://github.com/eriklindernoren/PyTorch-GAN
[2] https://github.com/mrzhu-cool/pix2pix-pytorch/blob/master/train.py
'논문 구현' 카테고리의 다른 글
| [논문 구현] PyTorch로 Seq2Seq(2014) 구현하고 학습하기 (0) | 2021.06.15 |
|---|---|
| [논문 구현] PyTorch로 Style Transfer(2015)를 구현하고 학습하기 (0) | 2021.06.11 |
| [논문 구현] PyTorch로 DCGAN(2015) 구현하고 학습하기 (0) | 2021.05.19 |
| [논문 구현] PyTorch로 CGAN(2014) 구현하고 학습하기 (1) | 2021.05.18 |
| [논문 구현] PyTorch로 GAN(2014) 구현하고 학습하기 (3) | 2021.05.17 |