Conics and dual conics
conic은 평면에서 2차식으로 표현되는 곡선입니다.

Euclidean geometry에서 conics은 3개의 유형이 있습니다. 쌍곡선(hyperbola), 타원(ellipse), 포물선(parabola)입니다. 일반적이로 이 conic의 세 가지 유형은 평면에 의해 생성된 원뿔 곡선(conic section)에 따라 생성됩니다.
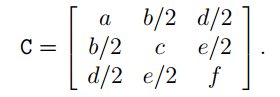
conic 방정식은 inhomogeneous coordinate으로 2차 다항식으로 표현합니다.

이를 homogeneous coordinate로 다음과 같이 표현합니다.


이차형식(quadratic form)에 의해 conic coefficient 행렬 C는 다음과 같이 주어집니다.


conic 계수 행렬은 대칭입니다. 점과 선의 homogeneous 표현의 경우에 행렬 요소의 ratio가 중요합니다. C에서 scalar 곱이 방정식에 영향을 주지 않기 때문입니다. 따라서 C는 conic의 homogeneous 표현입니다. conic은 {a:b:c:d:e:f}중 5개만 정하면 나머지 1개가 자연스럽게 정해지므로 5개의 degree of freedom을 갖습니다.
Five points define a conic
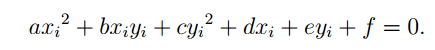
conic C가 유일하게 결정되기 위해서는 점 5개가 필요합니다. 점 (xi, yi)를 지나는 conic의 방정식은 다음과 같습니다.

여기서, 제한조건은 다음과 같이 나타낼 수 있습니다.

여기서 conic coefficient matrix인 C는 (a, b, c, d, e, f)^T 이며, 6-vector로 나타냅니다. C는 5개의 자유도를 갖으므로 총 5개의 점으로부터 제한조건을 쌓습니다.

conic은 5x6 행렬의 null vector 입니다. 이는 conic이 5개의 점에의해 유일하게 결정된다는 것을 보여줍니다.
Tangent lines to conics
점 x에서 conic과 접하는 선 l은 l = Cx를 만족합니다.

Dual conics

위에서 정의된 conic C는 point conic이라는 용어가 더 적절합니다. 점에 대한 방정식으로 정의되었기 때문입니다. 이전에 배웠던 projective space에서 duality를 고려하면, conit은 선에 대한 방정식으로 정의될 수 있습니다. 이것을 dual conic이라고 하고, 3x3 행렬 C*로 나타냅니다.
conic C에 접하는 선 l은 다음을 만족합니다.

C*는 C의 수반 행렬(adjoint matrix)이고, 역행렬이 존재하는 대칭 행렬에서 C* = $C^{-1}$ (normalize 적용)를 만족합니다.
dual conic은 C가 full rank를 갖는 경우에 직접적으로 유도됩니다. 점 x에서 conic과 접하는 선은 l = Cx 입니다. 역으로 x = $C^{-1}$l 으로 conic C와 선 l이 접하는 점을 찾을 수 있습니다. x는 $x^TCx=0$을 만족하기 때문이 다음을 얻을 수 있습니다.


Dual conic은 conic envelope으로도 알려져 있습니다. 그 이유는 위 그림을 보면 선들이 conic을 envelope하는 것처럼 보이기 때문입니다. dual conic은 5개의 자유도를 갖습니다. 따라서 5개의 선으로 dual conic을 정의할 수 있습니다.
Degenerate conics
만약 conic C가 full rank가 아니라면 이 conic은 degenerate라는 용어를 사용합니다. degenerate point conic은 2개의 선(rank=2)과 repeated 선(rank=1)을 포함합니다.
선 l과 m으로 구성된 conic은 다음과 같이 표현합니다.

참고자료