여인권 교수님의 KMOOC 강의 <통계학의 이해 2>를 수강하면서 공부한 내용을 정리해보았습니다.
반복이 있는 이원배치 분산분석 - 변량/혼합효과모형
반복이 있는 이원배치 변량 또는 혼합효과모형에서 상호작용효과가 있는 경우의 분산분석표와 고정효과모형의 분산분석표의 차이점을 알아보겠습니다.
분산분석 결과에 따른 관심 모수에 대한 추론 방법을 알아보겠습니다.
1. 변량효과모형
(1) 변량효과 모형식
변량효과모형식은 다음과 같이 설계할 수 있습니다.


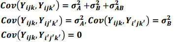
변량효과모형은 분산에 대해 관심이 있으므로 분산요소에 대한 추론을 해야합니다.

(2) 평균제곱(MS)의 기댓값
변량효과모형에서는 고정효과모형과 다르게 MS를 계산합니다.

상호작용이 유의한 경우 주효과에 대한 추론은 MSE 기반이 아닌 MS(AB)을 기반으로 진행합니다.
(3) 분산분석표 - 변량효과모형

상호작용 효과가 유의하지 않으면 오차에 흡수시켜 다시 분석합니다.
이 경우에는 F를 고정효과모형과 동일한 식으로 구해야 합니다. (MSA/MSE)
상호작용 효과가 유의하면 주효과가 유의하지 않더라도 모형에 유지합니다.
(4) 분산 추정(상호작용 유의한 경우)
분산의 추정은 다음과 같이 진행할 수 있습니다.

2. 혼합효과모형
혼합효과모형은 요인 A는 고정효과모형으로 요인 B는 변량효과모형으로 설정한 것입니다.
(1) 변량효과모형식
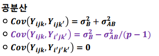
위에서 설명한 방법과 분산요소에 대한 추론(공분산)에서 차이가 있습니다.
고정효과모형은 평균에 관심이 있으므로 전체 모형식이 달라지게 됩니다.


(2) 평균제곱(MS)의 기댓값
혼합효과모형과 변량효과모형의 차이점은 고정효과모형 요인 A가 관계있는 식에서 차이가 있습니다.

상호작용이 유의한 경우 고정 주효과에 대한 추론은 MSE 기반이 아닌 MS(AB)을 기반으로 진행합니다.
(3) 분산분석표 - 혼합효과모형

상호작용 효과가 유의하지 않으면 오차에 흡수시켜 다시 분석합니다.
상호작용 효과가 유의하면 주효과가 유의하지 않더라도 모형에 유지합니다.
(4) 분산 추정 - 상호작용 유의한 경우
혼합효과모형에서 상호작용이 유의한 경우 분산 추정은 다음과 같이 할 수 있습니다.
요인 B가 변량효과모형이므로 요인 B만 추정을 합니다.

(5) 평균 추론 - 상호작용 유의한 경우
요인 A가 고정효과모형이기 때문에 요인 A만 평균 추론을 할 수 있습니다.
구간추정, 다중비교, 대비는 다음과 같이 구할 수 있습니다.

3. 정리

'수학 > 기초 통계학' 카테고리의 다른 글
| [통계학] 회귀분석 - 회귀모형 개념 - 선형회귀모형 (0) | 2020.10.17 |
|---|---|
| [통계학] 다변량 자료 - 산점도와 상관분석 - 표준상관계수, 상관분석 예제 (0) | 2020.10.17 |
| [통계학] 이원배치 분산분석 - 반복이 있는 고정효과모형 - 상호작용 효과, 상호작용도표, 상호작용여부 (0) | 2020.10.14 |
| [통계학] 확률화 블록 계획법 - 이원배치 분산분석과의 차이점과 분석결과 해석 방법 (0) | 2020.10.14 |
| [통계학] 변량효과모형과 혼합효과모형의 모형식과 통계적 추론 - 이원배치 분산분석 - 반복이 없는 경우 (0) | 2020.10.12 |