여인권 교수님의 KMOOC 강의 <통계학의 이해 2>를 수강하면서 공부한 내용을 정리해보았습니다.
반복이 있는 고정효과모형의 이원배치 분산분석
반복이 있는 고정효과모형의 경우 상호작용이 무엇이고 상호작용효과의 유의성을 확인하는 방법을 알아보겠습니다.
상호작용여부에 따라 분산분석 및 추론 결과를 어떻게 해석해야 하는지 알아보겠습니다.
1. 실험설계
요인 A의 수준 수는 p, 요인 B의 수준 수는 q라고 하겠습니다.
반복이 있는 이원배치 분산분석은 p X q처리를 완전 확률화 하여 n번 반복(개체) 실험을 진행한 것입니다.
2. 자료구조
반복이 있는 이원배치 분산분석의 자료구조는 다음과 같습니다.

반복이 없는 경우와 차이점은 처리들간에 차이가 있는지를 확인하는 것입니다.
처리들간의 차이를 상호작용이라고 합니다.
3. 상호작용 - interaction, 교호작용
상호작용도표(평균프로파일도표)를 확인하여 시각적으로 처리효과를 파악할 수 있습니다.
(1) A처리효과 없음, B없음


(2) A 처리효과 없음, B있음

요인 A에서 각 수준의 평균은 같지만 수준에 따른 요인 B의 수준1과 수준2의 평균은 차이가 납니다.
(3) A 처리효과 있음, B 없음

ㅁ와 ㅇ의 수준1에서와 수준2에서의 차이는 동일하지만
요인 A에서 수준1의 평균, 수준2에서의 평균은 차이가 있습니다.
(4) A 처리효과 있음 B처리효과 있음

(5) 처리효과를 판단하지 못하는 경우
아래 그림같은 경우는 그림으로 처리효과는 설명하기 어렵습니다.
따라서 상호작용정보도 제공하여 판단을 해야합니다.


4. 고정효과모형
상호작용정보를 알기위해 모형식을 세워야합니다.
(1) 고정효과모형식


반복이 없는 겨웅 상호작용을 포함시키면 추정할 모수의 수와 관측값의 수가 같습니다.
반복수가 2회 이상일 때만 상호작용을 포함시킵니다.
(2) 변동분해

(3) 가설검정
귀무가설을 모든 처리가 동일하다고 검정합니다.

상호작용과 유무, 요인 A의 주효과 유무, 요인 B의 주효과 유무를 파악해야 합니다.

(4) 분산분석표(고정효과모형)
변동분해 한 값으로 분산분석표를 제작할 수 있습니다.

상호작용 효과가 유의하지 않으면 오차에 흡수시켜 다시 분석합니다.
상호작용 효과가 유의하면 주효과가 유의하지 않더라도 모형에 유지합니다.
(5) 처리수준 평균 추정(상호작용 유의한 경우)
처리수준 평균의 구간추정은 다음과 같이 구할 수 있습니다.

(6) 각 처리에 대한 다중비교

여기에 들어가는 A는 t분포의 임계값입니다.
어떤 방법을 이용하냐에 따라 A가 달라지게 됩니다.
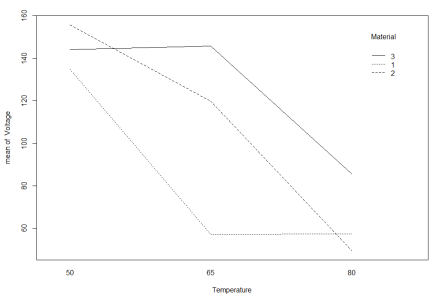
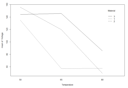
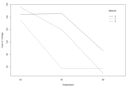
5. 예시문제
자료를 통해서 전지의 최대 전압이 양극의 물질과 설치장소의 온도에 따라 차이가 있는지 알아보겠습니다.

이를 바탕으로 상호작용도표를 작성하면 다음과 같습니다.

각 수준에 따른 처리효과의 차이를 확인할 수 있습니다.
자료를 통해 분산분석표(고정효과모형)을 작성하면 다음과 같습니다.

이를 통해 상호작용 효과와 주효과 모두 유효하게 존재하는 것으로 분석됩니다.
요인 A(B)의 처리효과는 B(A)요인의 특정수준에서 비교하는 것이 적절합니다.
6. 정리

'수학 > 기초 통계학' 카테고리의 다른 글
| [통계학] 다변량 자료 - 산점도와 상관분석 - 표준상관계수, 상관분석 예제 (0) | 2020.10.17 |
|---|---|
| [통계학] 이원배치 분산분석 - 반복이 있는 변량/혼합효과모형 (0) | 2020.10.14 |
| [통계학] 확률화 블록 계획법 - 이원배치 분산분석과의 차이점과 분석결과 해석 방법 (0) | 2020.10.14 |
| [통계학] 변량효과모형과 혼합효과모형의 모형식과 통계적 추론 - 이원배치 분산분석 - 반복이 없는 경우 (0) | 2020.10.12 |
| [통계학] 고정효과모형의 모형식과 통계적 추론 - 이원배치 분산분석, 반복이 없는 경우 (0) | 2020.10.12 |