여인권 교수님의 KMOOC 강의 <통계학의 이해 2>를 수강하면서 공부한 내용을 정리해보았습니다.
변량효과모형과 혼합효과모형에서의 가정과 모형식을 알아보겠습니다.
변량효과모형과 혼합효과모형에서 주요 모수에 대한 통계적 추론 방법을 알아보겠습니다.
변량효과모형 - Random Effect Model
(1) 모형식 설계
이원배치 분산분석에서의 변량효과모형의 모형식은 다음과 같이 설계할 수 있습니다.

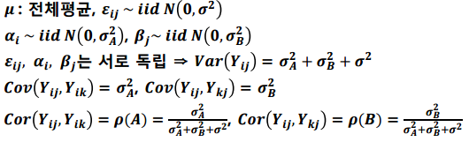
(2) 변량효과모형 가정
변량효과모형은 다음과 같이 가정할 수 있습니다.

(3) 가설검정
변량효과모형에서의 평균은 확률변수입니다.
따라서 분산에 관심이 있습니다.
가설검정은 다음과 같이 설정할 수 있습니다.

(4) 분산분석표

유의하지 않는 요인의 처리효과는 오차에 흡수시켜 다시 분석합니다.
(5) 처리수준 분산 추정
MSE, MSA, MSB의 기댓값은 다음과 같이 구할 수 있습니다.

MSE보다 MSA(MSB)가 크다면 처리효과가 있을 가능성이 높아집니다.

추정은 다음과 같이 구할 수 있습니다.

이를 바탕으로 ICC를 추정할 수 있습니다.

2. 혼합효과모형 - Mixed Effect Model
이원배치 분산분석에서의 혼합효과모형은 2개의 요인을 1개는 실험자가 결정, 1개는 무작위로 선택하는 것을 의미합니다.
(1) 혼합효과모형식과 가정
고정(변량)효과모형식과 다르게 혼합효과모형식은 다음과 같이 설계할 수 있습니다.

모형식을 다음과 같이 가정합니다.

요인 A는 실험자가 결정한 고정효과모형이므로 평균에 관심을 갖고,
요인 B는 무작위로 선택한 변량효과모형이므로 분산에 관심을 갖습니다.
이 모형은 나중에 배울 반복측정 분산분석의 모형과 유사합니다.
(2) 가설검정
가설검정은 다음과 같습니다.

(3) 분산분석표

유의하지 않는 요인의 처리효과는 오차에 흡수시켜 다시 분석합니다.
(4) 평균제곱(MS)의 평균
요인 B(변량효과모형)는 평균제곱의 평균을 이용하여 F를 도출합니다.

(5) 모수 추정
위에서 구한 통계값을 이용하여 모수를 추정할 수 있습니다.
요인 A의 평균, 요인 B의 분산을 추정하고 요인 B의 상관관계를 추정합니다.

3. 정리
변량효과모형과 혼합효과모형에서의 가정과 모형식에 대해 알아보았습니다.

변량효과모형과 혼합효과모형에서 주요 모수에 대한 통계적 추론 방법을 알아보았습니다.

'수학 > 기초 통계학' 카테고리의 다른 글
| [통계학] 이원배치 분산분석 - 반복이 있는 고정효과모형 - 상호작용 효과, 상호작용도표, 상호작용여부 (0) | 2020.10.14 |
|---|---|
| [통계학] 확률화 블록 계획법 - 이원배치 분산분석과의 차이점과 분석결과 해석 방법 (0) | 2020.10.14 |
| [통계학] 고정효과모형의 모형식과 통계적 추론 - 이원배치 분산분석, 반복이 없는 경우 (0) | 2020.10.12 |
| [통계학] 분산분석 - 선형대비 - 수준 평균의 선형 결합 형태 (0) | 2020.10.10 |
| [통계학] 분산분석 - 다중비교 - Fisher LSD, Bonferroni, Scheffe, Tukey HSD (0) | 2020.10.10 |