여인권 교수님의 KMOOC 강의 <통계학의 이해 2>를 수강하면서 공부한 내용을 정리해보았습니다.
처리효과가 있다고 할 때, 어떤 수준들 간에 차이가 있는지 확인하기 위해 모든 평균 차의 조합에 대해 유의성을 검정하는 방법을 알아보겠습니다.
다중비교 - Multiple comparison
분산분석 고정효과모형 가설검정을 통해 처리효과가 있다고 판단될때 다중비교를 통해 어떤 수준들 간에 차이가 있는지 확인할 수 있습니다.
모든 그룹의 평균에 대해 검정하는 방법입니다.

다중비교 방법은 여러가지가 있습니다.

여기서 배워볼 방법은 Fisher's LSD, Bonferroni's MSD, Scheffe, Tukey HSD 방법입니다.
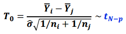
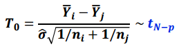
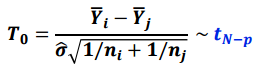
1. Fisher's least significant difference - 최소유의차 방법, LSD
모든 평균에 대해 t검정을 실시합니다.

귀무가설 하에 검정통계량은 다음과 같이 도출할 수 있습니다.

분산분석 후 실시하기 때문에 공통분산의 추정량은 표본합동분산이 아니라 MSE를 이용합니다.

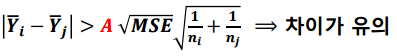
아래의 경우에 수준간의 차이가 있다고 할 수 있습니다.

2. Bonferroni 방법
본페르니 방법은 각각의 귀무가설에서 유의수준을 수준의 갯수로 나누는 방법입니다.
모든 쌍에 대해서 2가지를 선정해 비교하는 방법은 다음과 같이 표시할 수 있습니다.

LSD의 경우, 유의수준이 커지는 경향이 있어 ANOVA(분산분석표)에서 $H_0$ 기각 못했으나 LSD에서 유의한 차이가 있는 경우가 있습니다.
본페로니 방법은 유의수준을 a/k로 설정합니다.

이를 통해 다중검정에서의 유의수준 a를 사용하는 경우 최대 ka가 되는 문제(Bonferroni부등식)을 해결할 수 있습니다.
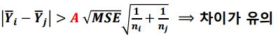
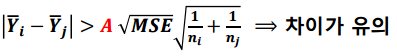
다음과 같은 경우에 차의가 유의하다고 할 수 있습니다.

3. 기타방법
다중비교에서는 공통된 변수가 있습니다.

여기서, A에 따라 방법이 바뀌게 됩니다.
Scheffe와 Tukey's HSD에서 A는 다음과 같습니다.

다중비교 정리

'수학 > 기초 통계학' 카테고리의 다른 글
| [통계학] 고정효과모형의 모형식과 통계적 추론 - 이원배치 분산분석, 반복이 없는 경우 (0) | 2020.10.12 |
|---|---|
| [통계학] 분산분석 - 선형대비 - 수준 평균의 선형 결합 형태 (0) | 2020.10.10 |
| [통계학] 분산분석 - 등분산성 검정 - 잔차그림, Hartley 검정, Bartlett 검정 (0) | 2020.10.10 |
| [통계학] 분산분석표, 고정효과모형과 변량효과모형에서 F통계량의 분모와 분자인 평균제곱의 통계적 성질 (0) | 2020.10.10 |
| [통계학] 분산분석 - 변량효과모형 - 요인이 하나, 수준을 무작위 (0) | 2020.10.08 |