여인권 교수님의 KMOOC 강의 <통계학의 이해 2>를 수강하면서 공부한 내용을 정리해보았습니다.
요인이 두 개이고 각 처리에 하나의 관측값이 있는 경우, 각 요인의 처리효과를 확인하기 위해 어떻게 모형을 설정하는지 알아보겠습니다.
고정효과 모형 하에서의 통계적 추론을 알아보겠습니다.
이원배치 분산분석
이원배치 분산분석의 실험을 설계하면 다음과 같습니다.
요인 A의 수준 수는 p, 요인 B의 수준 수는 q일 때 p X q 처리를 완전 확률화 하여 실험을 진행한다고 가정하겠습니다.
자료구조는 다음과 같이 확인할 수 있습니다.

여기서 요인A와 요인B가 있는데,
두 요인 모두 실험자가 결정하는 것을 고정효과모형(fixed effect models)
두 요인 모두 무작위로 선택하는 것은 변량효과모형(random effect models)
하나는 실험자가 결정, 다른 하나는 무작위로 선택하는 것은 혼합효과모형(mixed effect models) 입니다.
동일 개체를 반복측정하는 경우에는 상관관계가 존재할 수 있습니다. 이 경우에 변량효과로 처리하게 됩니다.
1. 고정효과모형
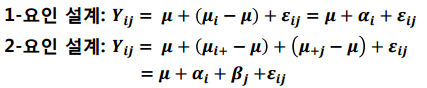
이원배치 분산분석에서 고정효과모형의 모형식은 다음과 같이 설계할 수 있습니다.

2요인일 경우 전체평균, a의 처리효과, b의 처리효과, 잔류오차로 표현할 수 있습니다.

변동분해
이원배치 고정효과모형식을 변동분해하면 다음과 같습니다.

가설검정
가설검정은 귀무가설을 요인 A의 처리효과가 없다, 요인 B의 처리효과가 없다. 로 설정합니다.

분산분석표
변동분해 값들을 분산분석표로 정리하면 다음과 같습니다.

SS는 제곱합, MS는 SS/자유도인 평균제곱, F는 검정통계량입니다.
MSA, MSB는 설명가능한것이고 MSE는 설명할 수 없는 것입니다.
유의하지 않는 요인의 처리효과는 오차에 흡수시켜 다시 분석합니다.
구간추정과 다중비교
분산분석표를 제작했으니 구간추정과 다중비교를 할 수 있습니다.
(1) 처리 평균 추정
요인 A의 평균을 구간추정하면 다음과 같습니다.

$MSE_A$는 MSB를 MSE에 흡수시킨 값입니다.
요인 B의 평균을 구간추정하면 다음과 같습니다.

(2) 각 요인의 수준에 대한 다중비교
두 요인의 처리효과가 있는 경우에 다음과 같이 다중비교를 할 수 있습니다.

A에는 어떤 다중비교 방법을 이용하냐에 따라 값이 달라집니다.
2. 예제 문제
이원배치 고정효과모형의 예제를 풀어보겠습니다.
원료와 반응온도에 따른 제품의 생산량을 비교하겠습니다.
원료(요인 A) : 미국 M사, 일본 Q사, 한국 P사
반응온도(요인 B) : 189, 190, 200, 210
온도에 따라 차이가 있는지를 확인하는 것이 목적입니다.
자료구조는 다음과 같습니다.

이를 바탕으로 분산분석표는 다음과 같습니다.

p-값을 보았을 때 두 요인 모두 처리효과가 있다고 판단됩니다.
이는 원료사와 반응온도에 따라 생산량에 차이가 있다는 것을 의미합니다.
분산분석표를 만들었으니, 구간추정을 할 수 있습니다.

여기서 2.447은 자유도가 있는 T분포의 95% 임계값입니다.
3. 정리
요인이 두 개이고 각 처리에 하나의 관측값이 있는 경우, 각 요인의 처리효과를 확인하기 위해 어떻게 모형을 설정하는지 알아보았습니다.

고정효과 모형 하에서의 통계적 추론을 알아보았습니다.

'수학 > 기초 통계학' 카테고리의 다른 글
| [통계학] 확률화 블록 계획법 - 이원배치 분산분석과의 차이점과 분석결과 해석 방법 (0) | 2020.10.14 |
|---|---|
| [통계학] 변량효과모형과 혼합효과모형의 모형식과 통계적 추론 - 이원배치 분산분석 - 반복이 없는 경우 (0) | 2020.10.12 |
| [통계학] 분산분석 - 선형대비 - 수준 평균의 선형 결합 형태 (0) | 2020.10.10 |
| [통계학] 분산분석 - 다중비교 - Fisher LSD, Bonferroni, Scheffe, Tukey HSD (0) | 2020.10.10 |
| [통계학] 분산분석 - 등분산성 검정 - 잔차그림, Hartley 검정, Bartlett 검정 (0) | 2020.10.10 |