(통계학-기본개념과 원리, 여인권)을 바탕으로 제작하였습니다.
(k-mooc 통계학의 이해1, 여인권)을 수강하면서 공부한 내용을 정리해보았습니다.
이산확률변수의 확률구조를 나타내는 확률질량함수의 성질에 대해 알아보겠습니다.
1. 확률질량함수 - probability mass function
이산확률변수는 확률변수의 치역이 셀 수 있는 경우를 의미합니다.
이산확률변수 $X$가 임의의 값 $x$일 확률 $P(X = x)$를 $x$에 대한 함수로 생각하면 다음과 같이 됩니다.

이때 $f(x)$를 확률변수 $X$의 확률질량함수라고 합니다.
예시문제
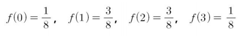
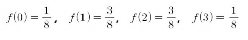
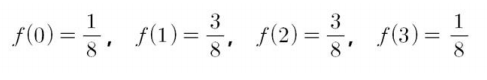
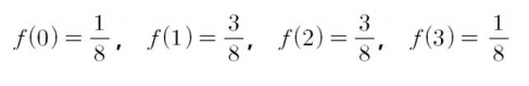
동전을 세 번 던졌을 때 앞면의 수를 $X$라고 하면 $X$가 가질 수 있는 값은 $x$ = 0, 1, 2, 3이고 이에 대한 확률질량 함수는 다음과 같습니다.

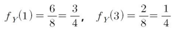
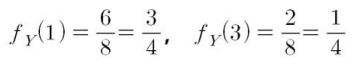
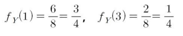
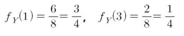
앞면과 뒷면의 수의 차이를 $Y$라고 하면 $Y$의 확률질량함수는 다음과 같습니다.

확률질량함수의 성질
확률변수 $X$의 확률질량함수 $f(x)$는 $X = x$일 때의 확률이기 때문에 $X$가 가질 수 있는 값이 $x_1, x_2, x_3, ...$ 이면 다음이 성립하게 됩니다.

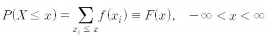
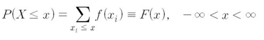
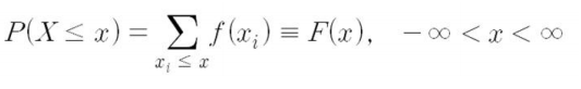
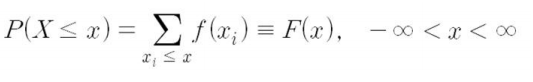
2. 누적분포함수(cdf, cumulatibe distribution function)
누적분포함수는 확률질량함수 성질 3번의 특수한 형태입니다.

여기서 $F(x)$가 누적분포함수를 나타나게 됩니다. 이에 자세한 내용은 나중에 포스팅하도록 하겠습니다.
예시문제를 누적분포 함수로 나타내면 다음과 같이 됩니다.

3. 확률변수의 변환(transformation)
확률변수의 함수도 새로운 확률변수가 될 수 있습니다. 이런 확률변수의 함수를 확률변수의 변환 또는 변환된 확률변수 라고 합니다. 표본공간에서 직접 유도한 확률변수보다 이를 변형시킨 변수에 더 관심을 갖게 되는 경우 이용하게 됩니다.
예시문제
예시문제 1번에서 앞면의 수에 1을 뺀 값을 제곱한 $(X-1)^2$에 관심이 있다고 하겠습니다. $W = (X-1)^2$의 값은 다음과 같이 정리할 수 있습니다.



$W$ = 1인 경우가 두 가지이므로 각각에 대응하는 확률을 더하여 구할 수 있습니다.
이상으로 이산확률변수의 확률구조를 나타내는 확률질량함수의 성질에 대해 알아보았습니다. 감사합니다.
'수학 > 기초 통계학' 카테고리의 다른 글
| [통계학] 07-5. 확률변수의 기댓값 - 기댓값의 성질 (0) | 2020.09.18 |
|---|---|
| [통계학] 07-4. 연속확률변수와 확률밀도함수 (0) | 2020.09.17 |
| [통계학] 07-2. 확률분포, 확률분포표 (0) | 2020.09.17 |
| [통계학] 07-1. 확률변수의 정의와 종류 (이산확률변수, 연속확률변수) (0) | 2020.09.16 |
| [통계학] 06-3. 조건부확률 (3) - 베이즈 정리 (0) | 2020.09.16 |