(통계학-기본개념과 원리, 여인권)을 바탕으로 제작하였습니다.
(k-mooc 통계학의 이해1, 여인권)을 수강하면서 공부한 내용을 정리해보았습니다.
연속확률변수의 확률구조를 나타내는 확률밀도함수와 그 성질에 대해 알아보겠습니다.
1. 확률밀도함수 - pdf, probability density function
아래의 그림 처럼 연속확률변수 $X$의 분포형태, 즉 모집단의 형태를 나타낸 것으로 임의의 점 $x$에서의 밀도를 $f(x)$라고 표시하면 $f(x)$를 확률밀도함수라고 합니다.

히스토그램은 자료들을 적절한 구간으로 나누고 각 구간에 포함되어 있는 자료의 상대도수를 면적으로 표시한 것으로 전체 면적은 1이 됩니다. 이때 해당 구간의 높이를 밀도하고 했습니다. 이 밀도는 해당 구간에 상대적으로 얼마나 많은 자료가 모여 있는지를 표시한 것입니다.
위의 그림 첫 번째와 두 번째 그림은 어떤 모집단에서 표본을 무작위로 100개와 10000개를 추출했을 때 히스토그램을 그린 것입니다. 만약 자료를 계속 추가하면서 계급의 폭을 줄이면 히스토그램은 점점 세밀한 형태를 가지게 되고 결국 세 번째 그림과 같이 모집단의 형태를 나타내는 밀도를 얻게 될 것입니다.
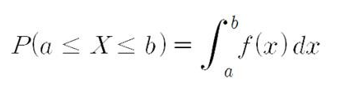
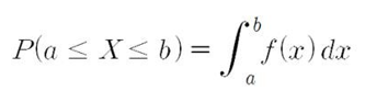
확률밀도함수의 면적은 해당 구간에서의 확률이 됩니다. 이는 히스토그램에서 어떤 계급의 면적이 해당 계급의 비율(상대도수)이었던 것과 동일합니다.
수학적으로 표시하면 $X$가 구간[a, b]에 속할 확률은 구간 [a,b]에서 $f(x)$의 면적으로 구할 수 있습니다.

주의해야 할 것은 확률질량함수와 다르게 확률밀도함수는 해당 점에서의 확률이 아닙니다. 연속확률변수에 대한 확률은 확률밀도함수에서 해당 영역의 면적입니다.
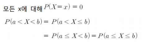
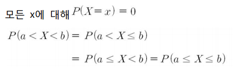
어떤 점에서의 면적은 $f(x)$의 크기와 관계없이 항상 0이 되기 때문에 $X$가 연속확률변수일 때에는 모든 $x$에 대해 $P(X=x)=0$이 됩니다. 연속확률변수의 확률밀도함수 $f(x)$는 $x$에서의 확률이 아니라 상대적인 밀도를 나타냅니다. 따라서 $X = 3$일 확률 0이 됩니다.

확률밀도함수 $f(x)$는 $x$에서의 확률이 아니라 그 위치에서 상대적으로 얼마나 밀집되어 있는지를 나타낸 것입니다.
확률밀도함수의 성질
위의 내용을 정리하면 임의의 연속확률변수 $X$의 확률밀도함수 $f(x)$는 다음과 같은 성질을 만족한다는 것을 알 수 있습니다.

예시문제
0에서 12까지의 숫자가 표시된 돌림판을 돌린 후 정지할 때 바늘이 지적하는 위치에 관심이 있다고 하겠습니다. 이 확률실험의 표본공간은 Ω = {$x : 0 < x \leq 12$}가 되고 바늘이 지시하는 위치를 확률변수 $X$라고 하면 0에서 12사이에서 발생가능성이 동일하기 때문에 다음과 같은 형태가 됩니다.

전체면적은 1이 되야하고 길이는 12이므로 확률밀도함수는 다음과 같이 됩니다.

또한 X가 3에서 6사이에 있을 확률은 다음과 같이 구할 수 있습니다.

이상으로 연속확률변수의 확률구조를 나타내는 확률밀도함수와 그 성질에 대해 알아보았습니다. 감사합니다.
'수학 > 기초 통계학' 카테고리의 다른 글
| [통계학] 08-1. 확률벡터(1) - 분산과 표준편차 (0) | 2020.09.18 |
|---|---|
| [통계학] 07-5. 확률변수의 기댓값 - 기댓값의 성질 (0) | 2020.09.18 |
| [통계학] 07-3. 이산확률변수와 확률질량함수 (확률질량함수의 성질, 확률함수의 변환, 누적분포함수) (0) | 2020.09.17 |
| [통계학] 07-2. 확률분포, 확률분포표 (0) | 2020.09.17 |
| [통계학] 07-1. 확률변수의 정의와 종류 (이산확률변수, 연속확률변수) (0) | 2020.09.16 |