(통계학-기본개념과 원리, 여인권)을 바탕으로 제작하였습니다.
(k-mooc 통계학의 이해1, 여인권)을 수강하면서 공부한 내용을 정리해보았습니다.
모집단의 분포가 얼마나 퍼져있는지를 나타내는 분산 및 표준편차의 계산과 성질에 대해 알아보겠습니다.
1. 분산
표본평균은 자료의 중심위치를 의미하며, 분산과 표준편차는 자료가 얼마나 펴져 있는가에 대한 통계값입니다.
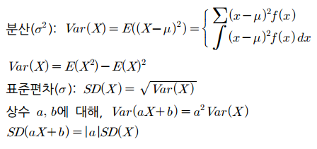
분산을 식으로 표기하면 다음과 같습니다.

이를 간편식으로 나타내면 다음 식이 됩니다.


위의 식이 어떻게 도출되었는지 알아보도록 하겠습니다.
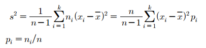
표본크기가 n개가 있고 자료가 k개가 있어 이들 값을 $x_1, ... , x_2$라고 하겠습니다. $n_i$는 표본 중 $x_i$값을 가지는 표본수라고 하겠습니다. 값이 중복되는 자료가 있기 때문에 n > k 입니다. 이런 경우에 표본분산은 다음과 같이 도출됩니다.

여기서 n을 계속 크게하면 표본분산이 모분산이 됩니다.

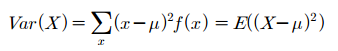
일반적으로 모분산은 $\sigma^2$로 표시하여 다음의 식이 도출될 수 있습니다.

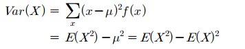
또한 확률변수 $X$의 분산을 $Var(X)$로 표시하므로 다음과 같은 식이 됩니다.

이는 $g(X) = (X-u)^2$일때 기댓값과 같습니다.
위의 식을 간편식으로 나타내면 다음과 같습니다.

2. 표준편차
표준편차 식은 다음과 같습니다.

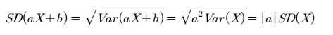
3. 분산과 표준편차의 성질
기댓값의 성질을 이용하면 분산과 표준편차의 성질을 구할 수 있습니다.


위 식이 어떻게 도출되었는지 알아보도록 하겠습니다.
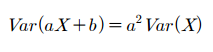
$Y = aX + b$의 분산에 관심을 갖는다고 하겠습니다. $E(X) = \mu_X$라고 하면 다음의 식이 도출됩니다.

기댓값이 위의 식과 같으므로 분산($Var(X)$)은 다음과 같이 정리할 수 있습니다.

이 식은 확률변수 $X$의 위치에 변화를 주는 $b$는 분산에 영향을 주지 않는다는 것을 보여줍니다. 분산은 퍼져 있는 정도를 나타내는 값으로 어떤 위치에 있든지 영향을 받지 않습니다.
반면 분산은 측정단위 척도의 제곱으로 표시되기 때문에 a와 같이 척도에 변화를 주는 경우 본산은 본래의 본산에 $a^2$를 곱하여 구합니다.
표준편차는 분산의 제곱근이지만 주의해야 할 것은 a가 음수일 수도 있으니 다음과 같은 식이 됩니다.

4. 정리

이상으로 모집단의 분포가 얼마나 퍼져있는지를 나타내는 분산 및 표준편차의 계산과 성질에 대해 알아보았습니다. 감사합니다.
'수학 > 기초 통계학' 카테고리의 다른 글
| [통계학] 08-3. 확률벡터(3) - 기댓값, 공분산, 상관계수 (1) | 2020.09.19 |
|---|---|
| [통계학] 08-2. 확률벡터(2) - 결합분포, 주변분포, 독립확률변수 (0) | 2020.09.18 |
| [통계학] 07-5. 확률변수의 기댓값 - 기댓값의 성질 (0) | 2020.09.18 |
| [통계학] 07-4. 연속확률변수와 확률밀도함수 (0) | 2020.09.17 |
| [통계학] 07-3. 이산확률변수와 확률질량함수 (확률질량함수의 성질, 확률함수의 변환, 누적분포함수) (0) | 2020.09.17 |