(통계학-기본개념과 원리, 여인권)을 바탕으로 제작하였습니다.
(k-mooc 통계학의 이해1, 여인권)을 수강하면서 공부한 내용을 정리해보았습니다.
1. 베르누이 시행 - Bernoulli trial
베르누이 시행의 세가지 조건이 있습니다.

예를 들어, 10개의 제품 중 7개가 정상, 3개가 불량품일때, 불량품이 뽑힌 것을 (S)라고 하겠습니다. 복원추출과 비복원추출 방법으로 각각 제품을 뽑았을 때 2개 모두 불량품일 확률은 다음과 같습니다.

2개를 복원추출하는 경우는 불량품이 뽑힐 확률이 항상 3/10이기 때문에 베르누이시행이라고 할 수 있습니다. 하지만 비복원추출의 경우 두 번째 추출은 첫 번째 추출결과에 영향을 받기 때문에 베르누이시행이라고 할 수 없습니다.
만약 상자에 10000개의 제품이 있고 이 중 3000개가 불량품이라고 하겠습니다. 이 중 2개의 제품을 복원추출과 비복원추출 방법으로 뽑아보겠습니다.

비복원추출의 경우 엄밀히 말하면 베르누이시행이 아닙니다. 하지만 복원추출하는 경우와 값이 비슷하다는 것을 확인할 수 있습니다. 즉 두 번째 시행의 결과는 첫 번째 시행의 결과에 영향을 거의 받지 않는다는 것 입니다.
이와 같이 모집단의 크기가 매우 크고 이에 비해 표본의 크기가 상대적으로 작아 비복원추출의 결과와 복원추출의 결과에 차이가 거의 없는 경우 비복원추출도 베르누이시행을 근사모형으로 사용하고 있습니다.
2. 베르누이 확률변수 - Bernoulli random variable
베르누이시행에서 '성공'확률을 $p$라고 하면 '살패'확률은 1-$p$가 됩니다.
실혐결과가 실패이면 0, 성공이면 1의 값을 갖는 확률변수 $X$의 확률분포는 다음과 같습니다.


이러한 확률분포를 따르는 확률변수를 베르누이확률변수라고 하고 베르누이분포를 따른다고 합니다.
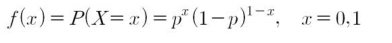
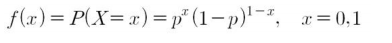
성공확률이 $p$인 베르누이 확률질량함수를 다음과 같이 쓸 수 있습니다.

또한 베르누이 확률분포를 따를 때 $X ~ B(p)$로 표시합니다.
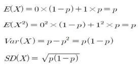
3. 베르누이분포의 기댓값과 분산
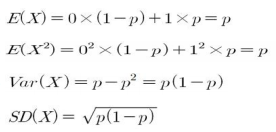
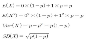
베르누이분포의 기댓값과 분산은 다음과 같이 나타낼 수 있습니다.

이처럼 베르누이확률분포는 성공확률인 $p$에 의해 확률과 기댓값이 결정됩니다.
이와 같이 분포의 특성을 결정하는 상수를 모수(parameter)라고 하며, '성공확률이 $p$인' 대신에 '모수가 p인' 베르누이분포라고 합니다.
$X$가 성공확률이 $p$인 베르누이확률분포를 따를 때 $X ~ B(p)$라고 표시합니다.
이상으로 이항분포의 기초가 되는 베르누이분포, 베르누이시행, 베르누이 확률변수에 대해서 알아보았습니다. 감사합니다.
'수학 > 기초 통계학' 카테고리의 다른 글
| [통계학] 09-3. 초기하분포 (0) | 2020.09.20 |
|---|---|
| [통계학] 09-2. 이항분포 (1) | 2020.09.19 |
| [통계학] 08-3. 확률벡터(3) - 기댓값, 공분산, 상관계수 (1) | 2020.09.19 |
| [통계학] 08-2. 확률벡터(2) - 결합분포, 주변분포, 독립확률변수 (0) | 2020.09.18 |
| [통계학] 08-1. 확률벡터(1) - 분산과 표준편차 (0) | 2020.09.18 |