(통계학-기본개념과 원리, 여인권)을 바탕으로 제작하였습니다.
(k-mooc 통계학의 이해1, 여인권)을 수강하면서 공부한 내용을 정리해보았습니다.
대표적인 이산분포인 이항분포의 성질에 대해 알아보겠습니다.
1. 이항분포 - Binimial distribution
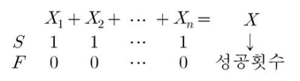
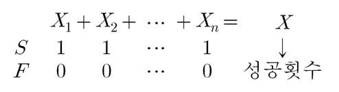
성공확률인 $p$인 베르누이시행을 $n$번 반복했을 때 성공 횟수($X$)의 분포를 이항분포라고 합니다.
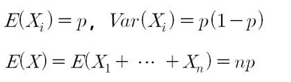
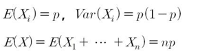
$X_i ~ B(p)$라고 할 때, 확률변수 $X$는 $n$개의 베르누이시행에서 성공한 횟수를 의미합니다.

확률변수 $X$는 $n$개의 베르누이 확률변수의 합으로 $X$의 기댓값은 베르누이확률변수의 기댓값의 합으로 표시됩니다.

베르누이확률변수는 서로 독립이기 때문에 $X$의 분산도 다음과 같이 각각의 베르누이 분산의 합으로 표시합니다.

표준편차는 다음과 같습니다.

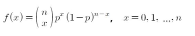
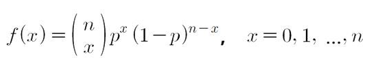
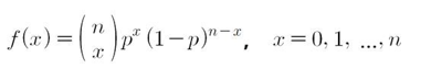
2. 이항분포의 확률질량함수
시행횟수 $n$, 성공확률 $p$인 이항분포의 확률질량함수는 다음과 같습니다.

이항분포는 $n$과 $p$에 따라 확률구조가 결정되며 이 두값이 이항분포의 모수가 됩니다.
모수란 분포의 특성을 완전히 결정하는 값을 의미합니다.
결국 $n$과 $p$가 이항분포의 모양을 결정하게 됩니다.
확률변수 $X$가 모수 $n$, $p$를 갖는 이항분포를 따른다는 것은 일반적으로 $X ~ B(n,p)$로 표시합니다.

예시문제
주사위를 세 번 던져 1이 나온 횟수를 $X$라고 하겠습니다. 1이면 $S$, 아니면 $F$로 표기하겠습니다.

$x$는 성공 횟수를 의미합니다.
3. 이항분포의 성질
이항분포의 중요한 성질 중 하나는 성공할 확률이 동일하고 서로 독립인 이항 확률변수의 합도 이항분포를 따른다는 것 입니다.
두 확률변수 $X$와 $Y$가 각각 $X ~ B(m,p)$와 $Y ~ B(n,p)$이고 서로 독립이라면 $X + Y$는 성공확률인 $p$인 베르누이시행을 각각 $m$번과 $n$번 반복하여 더한 것 입니다.
즉, 베르누이시행을 총 $m + n$번 했을 떄 성공한 횟수로 이해할 수 있습니다.
그러므로 $X + Y ~ B(m+n, p)가 됩니다.
예시문제
A가 젖혀질 확률이 0.4인 윷을 4번 던지고 B도 같은 확률을 가지는 윷을 6번 던질 때 두 사람이 던진 윳 중 젖혀진 윷이 2개 이하일 확률은?

다음과 같이 구할 수 있습니다.

이상으로 대표적인 이산분포인 이항분포의 성질에 대해 알아보았습니다. 감사합니다.
'수학 > 기초 통계학' 카테고리의 다른 글
| [통계학] 10-1 포아송분포 (0) | 2020.09.20 |
|---|---|
| [통계학] 09-3. 초기하분포 (0) | 2020.09.20 |
| [통계학] 09-1. 베르누이 시행, 베르누이 확률변수, 베르누이 분포 (0) | 2020.09.19 |
| [통계학] 08-3. 확률벡터(3) - 기댓값, 공분산, 상관계수 (1) | 2020.09.19 |
| [통계학] 08-2. 확률벡터(2) - 결합분포, 주변분포, 독립확률변수 (0) | 2020.09.18 |