(통계학-기본개념과 원리, 여인권)을 바탕으로 제작하였습니다.
(k-mooc 통계학의 이해1, 여인권)을 수강하면서 공부한 내용을 정리해보았습니다.
계수자료(counting data)에 대한 대표적인 분포인 포아송분포의 성질에 대해 알아보겠습니다.
포아송분포를 이용해 이항분포 확률의 근사값 계산방법을 알아보겠습니다.
1. 포아송분포
이항분포에서 $n$이크고 $p$가 작은 경우 계산하기가 어렵습니다.
이 경우에 포아송분포를 이용하여 이항분포의 근사확률을 구하면 됩니다.
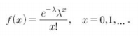
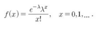
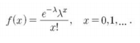
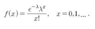
포아송분포의 확률질량함수는 다음과 같습니다.

여기서 $\lambda$는 $np$를 의미합니다.
포아송분포의 조건은 다음과 같습니다.
발생 가능성이 희박한 사건이 임의의 구간에서 평균적으로 $\lambda$번 발생
구간을 나누었을 때 각 구간의 발생 빈도는 서로 독립 (independent increment)
구간의 위치와 관계없이 동일 길이의 구간에서의 평균발생 빈도는 동일 (stationary increment)
위의 상황에서 해당 사건이 일어날 횟수를 $X$라고 하면 포아송분포는 다음과 같이 표기합니다.

이를 $X$는 모수 또는 평균이 $\lambda$인 포아송분포를 따른다고 하고 $X$ ~ $P(\lambda)$라고 표시합니다.
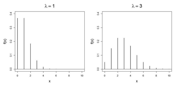
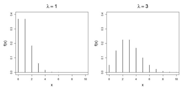
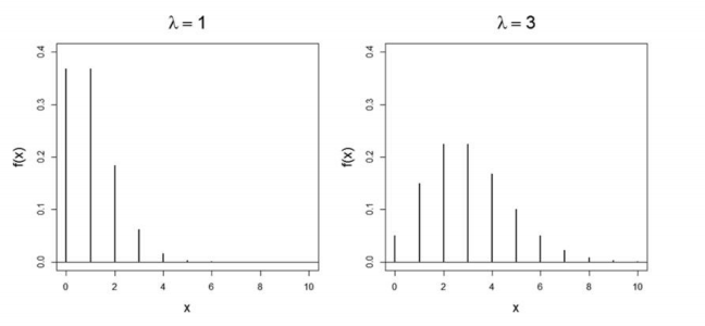
포아송분포는 평균 $\lambda$의 값에 따라 분포의 형태가 결정됩니다.

2. 포아송분포의 성질
포아송분포의 성질에 대해서 알아보겠습니다.
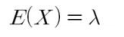
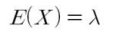
포아송분포의 가장 큰 특징은 평균과 분산이 같다는 것입니다.


이처럼 평균과 분산은 $\lambda$로 동일합니다.
확률변수 $X$와 $Y$가 포아송분포를 따르고 독립이면 $X + Y$도 포아송분포를 따릅니다.

3. 예시문제
반도체 생산 공정에서 평균 500개 중 한 개 정도가 불량품이 발생한다고 합시다. 불량품은 무작위로 발생합니다.
제작된 1500개 반도체 중 불량품이 2개 이하일 확률은?

이항분포 풀이

포아송분포 풀이

두 값이 비슷하다는 것을 확인할 수 있습니다.
4. 정리

이상으로 포아송분포에 대해서 알아보았습니다. 감사합니다.
'수학 > 기초 통계학' 카테고리의 다른 글
| [통계학] 10-3. 음이항분포 (0) | 2020.09.20 |
|---|---|
| [통계학] 10-2. 기하분포 (0) | 2020.09.20 |
| [통계학] 09-3. 초기하분포 (0) | 2020.09.20 |
| [통계학] 09-2. 이항분포 (1) | 2020.09.19 |
| [통계학] 09-1. 베르누이 시행, 베르누이 확률변수, 베르누이 분포 (0) | 2020.09.19 |