(통계학-기본개념과 원리, 여인권)을 바탕으로 제작하였습니다.
(k-mooc 통계학의 이해1, 여인권)을 수강하면서 공부한 내용을 정리해보았습니다.
베르누이시행의 응용분포인 음이항분포에 대해 알아보겠습니다.
1. 음이항분포 - negative binomial distribution
음이항분포는 성공할 확률이 $p$인 베르누이 시행을 $r$번 성공할 때 까지 시행하는 경우 실패(시행)횟수의 분포입니다.
실패횟수관점, 시행횟수관점 두 가지 관점으로 이용할 수 있습니다.
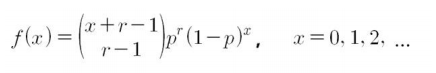
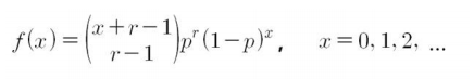
(1) 실패횟수 관점
$X$는 실패횟수라고 하겠습니다.
$X=x$라고 하면, $x + r$번째는 S(성공)이 됩니다.
$x+r-1$번째까지의 결과에서 성공은 $r-1$개, 실패는 $x$개가 존재합니다.
실패횟수 관점에서 확률질량함수는 다음과 같습니다.

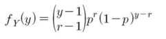
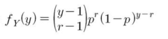
(2) 시행횟수관점
$Y$는 시행횟수라고 하겠습니다. ($Y=X+r$)
$Y=y$라고 하면, $y$번째는 S(성공)입니다.
$y-1$번째까지의 결과는 성공 $r-1개, 실패 $y-r$개가 됩니다.
시행횟수 관점에서 확률질량함수는 다음과 같습니다.

이를 $Y$ ~ $NB(r,p)$라고 합니다.
2. 음이항분포의 기댓값
(1) 실패횟수 관점

(2) 시행횟수 관점

3. 음이항분포의 특징
음이항분포는 계수자료 분석에서 포아송분포의 대안으로 사용하능합니다.
포아송분포의 특징은 기댓값과 분산이 $\lambda$로 동일하다는 것입니다.
기댓값과 분산의 차이가 심하다면 음이항분포를 이용할 수 있습니다.
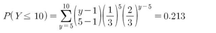
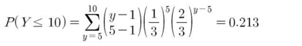
4. 예시문제
5명과 차례로 가위바위보 게임을 합니다.
비기거나 지면 계속 게임을 진행하고 이기면 다음 사람과 게임을 합니다.
이길 확률 $p$ = 1/3입니다.
게임이 완료될 때까지 10회 이하로 가위바위보 할 확률은 다음과 같습니다.

Y=5, Y=6, ... Y=10 인 값을 모두 더한것과 같습니다.
4. 정리

이상으로 베르누이 시행의 응용분포인 음이항분포에 대해 알아보았습니다. 감사합니다.
'수학 > 기초 통계학' 카테고리의 다른 글
| [통계학] 11. 정규분포, 표준화, 표준정규분포 (0) | 2020.09.21 |
|---|---|
| [통계학] 10-4. 다항분포 (1) | 2020.09.20 |
| [통계학] 10-2. 기하분포 (0) | 2020.09.20 |
| [통계학] 10-1 포아송분포 (0) | 2020.09.20 |
| [통계학] 09-3. 초기하분포 (0) | 2020.09.20 |