(통계학-기본개념과 원리, 여인권)을 바탕으로 제작하였습니다.
(k-mooc 통계학의 이해1, 여인권)을 수강하면서 공부한 내용을 정리해보았습니다.
통계학에서 가장 중요한 분포인 정규분포에 대해 알아보겠습니다.
표준화를 알아보고 정규분포에 표준화를 거친 표준정규분포를 알아보겠습니다.
정규분포의 성질에 대해서 알아보겠습니다.
1. 정규분포
[정규분포란?]
이항분포가 대표적인 이산확률분포라고 하면
정규분포는 대표적인 연속확률분포 입니다.
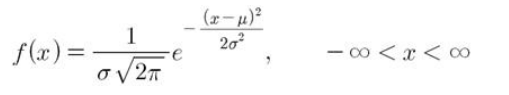
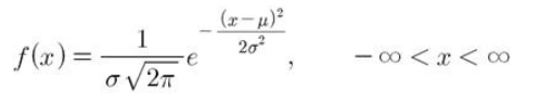
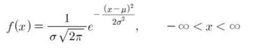
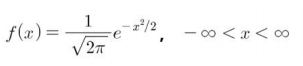
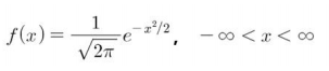
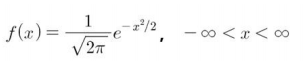
정규분포의 확률밀도함수는 다음과 같이 나타낼 수 있습니다.

여기서 $\mu$는 평균, $\sigma^2$는 분산, $\sigma$는 표준편차를 의미합니다.
$X$가 평균이 $\mu$이고 분산이 $\sigma^2$인 정규확률변수라고 하면 $X$ ~ $N(\mu,\sigma^2)$로 표시합니다.
모수는 평균과 분산입니다.
그림으로 나타내면 다음과 같습니다.

[평균과 분산의 의미]
$\mu$는 분포의 중심, 평균, 중앙값, 최빈값을 의미합니다.
$\sigma^2$는 퍼져있는 정도를 의미합니다.
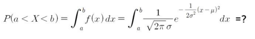
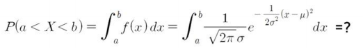
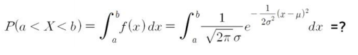
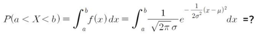
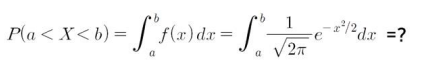
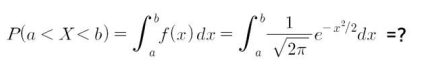
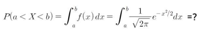
[$P(a < X < b)$ 확률계산]

$X$가 평균이 $\mu$이고 분산이 $\sigma^2$인 정규분포를 따를 때, $X$가 임의의 구간 [a,b]에 있을 확률은 확률밀도함수의 면적입니다.
이 확률은 다음과 같은 적분을 통해 구할 수 있습니다.

이 적분식은 직접 계산할 수 없습니다. 통계관련 프로그램이나 표준화를 통해 표준정규분포로 만든 뒤 표준정규표를 이용하여 계산할 수 있습니다.
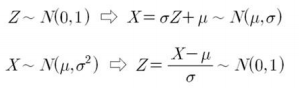
2. 정규분포의 표준화
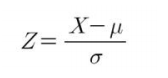
[표준화란?]
표준화는 각 자료에서 평균을 빼고 표준편차를 나누어 위치와 척도에 영향을 받지 않도록 합니다.
정규분포의 확률을 구하기 위해 표준화를 적용하여 표준정규표 이용합니다.

표준화를 하면 $\mu$ = 0, $\sigma^2$ = 1인 표준정규분포가 만들어집니다.
3. 표준정규분포
표준화를 적용한 정규분포를 표준정규분포라고 합니다.
$\mu$ = 0이고 $\sigma^2$ = 1인 정규분포이며 일반적으로 $Z$ ~ $N(0,1)$로 표시합니다.
또한 0을 기준으로 대칭입니다.
확률밀도함수는 다음과 같습니다.

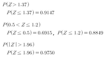
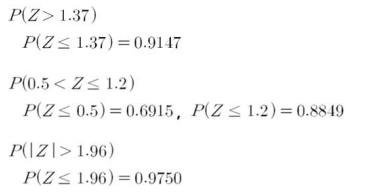
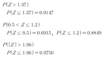
[$P(a < X < b)$ 확률계산]

표준정규분포는 표준정규분포표를 통해 확률을 계산할 수 있습니다.

표준정규분포는 0을 중심으로 대칭이라는 사실을 이용해야 합니다.

이처럼 표를 보고 확률을 계산할 수 있습니다.
[분위수]
$\alpha$가 주어지고 $P(Z > z) = \alpha$를 만족하는 $z$(분위수)에 대해 알아보겠습니다.

주요 분위수는 0.025, 0.05, 0.95, 0.975에 해당하는 값은 다음과 같습니다.
$$z_{0.05} = 1.645, z_{0.025} = 1.96, z_{0.95} = -z_{0.05} = -1.645, z_{0.975} = -z_{0.025} = -1.96$$
입니다.
4. 정규분포의 성질
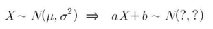
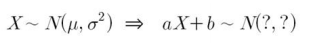
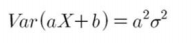
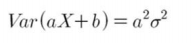
(1) 선형변환된 정규확률변수도 정규분포를 따릅니다.





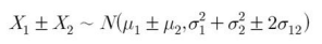
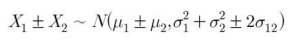
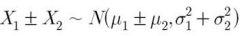
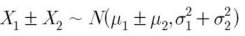
(2) 두 정규확률변수의 선형결합도 정규분포를 따릅니다.
$X_1$ ~ $N(\mu_1, \sigma_1^2)$이고 $X_2$ ~ $N(\mu_2, \sigma_2^2)$이면 $X_1 + X_2$는?

두 확률변수 $X_1$과 $X_2$가 독립이면, $\sigma_{12}$(공분산) = 0입니다.

기존에는 두 확률변수가 독립일 때 공분산은 0이고, 공분산이 0일 때 두 확률변수는 독립이 아닐수도 있었지만
정규분포에서는 공분산이 0 이면 두 확률변수는 독립입니다.
5. 예시문제
아침식사를 빵과 우유만 먹는다고 가정하겠습니다.

아침식사에서 300칼로리 이상 섭취할 확률은? 0.1587
(빵의 열량 + 우유의 열량)의 평균과 분산을 구한 뒤에 표준화를 합니다. ( 독립이라고 가정)
표준정규분포표를 보고 구할 수 있습니다.
동일한 식사를 일주일 했을 때, 300칼로리 이상 섭취할 날이 하루일 확률은?
이 문제는 이항분포를 이용해야 합니다.
성공확률 p = 0.1597와 시행횟수 7번 중 1번 성공할 확률을 구하면 됩니다.
이상으로 정규분포, 표준화, 표준정규분포, 정규분포의 성질도 알아보았습니다. 감사합니다.
'수학 > 기초 통계학' 카테고리의 다른 글
| [통계학] 13. 표집분포 (0) | 2020.09.21 |
|---|---|
| [통계학] 12. 확률표본과 통계량 (0) | 2020.09.21 |
| [통계학] 10-4. 다항분포 (1) | 2020.09.20 |
| [통계학] 10-3. 음이항분포 (0) | 2020.09.20 |
| [통계학] 10-2. 기하분포 (0) | 2020.09.20 |