(통계학-기본개념과 원리, 여인권)을 바탕으로 제작하였습니다.
(k-mooc 통계학의 이해1, 여인권)을 수강하면서 공부한 내용을 정리해보았습니다.
베르누이시행의 응용분포인 기하분포에 대해 알아보겠습니다.
기하분포의 중요한 특성인 무기억성을 알아보겠습니다.
1. 기하분포 - geometric distribution
기하분포는 베르누이 시행을 성공할 때까지의 실패(시행) 횟수의 분포입니다.
이항분포나 초기하분포에서는 시행횟수 n을 정해놓고 그 중에 성공한 횟수에 관심을 가졌으나 어떤 경우에는 시행횟수에 관심을 가질 때가 있습니다.
이 경우에 기하분포를 이용합니다.
중요한 특성은 무기억성입니다.
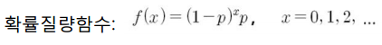
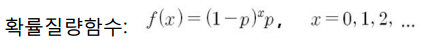
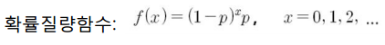
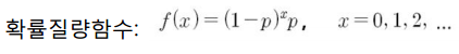
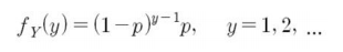
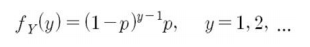
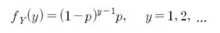
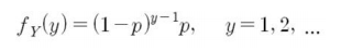
확률질량함수는 다음과 같이 나타낼 수 있습니다.


기하분포에서 $X$는 성공할때 까지 시행했을 때 실패한 횟수를 의미합니다.
$Y$는 성공할 때 까지 시행한 횟수를 의미합니다.
이 둘의 관계는 다음과 같습니다.

이런 확률질량함수를 가지는 경우 모수가 $p$인 기하분포를 따른다고 하고 다음과 같이 표시합니다.

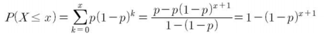
x번째 실험 이전에 성공할 확률은 다음과 같이 나타낼 수 있습니다.

$P(X \leq x-1)$은 x-1번째 이전까지 실패할 확률을 의미합니다.
x번째 실험 이전에 실패할 확률을 구하면 다음과 같습니다.

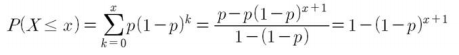
x+1번째 시행 이후에 성공(x번째까지 실패)할 확률은 다음과 같습니다.

x번째까지 실패했다고 할 때, 다음(x+1번째) 시행에서의 성공 확률은 다음과 같이 구할 수 있습니다.

이를 무기억성(memoryless)이라고 합니다.
5번 연속 뒷면이 나왔다고 하더라도 6번째가 앞면일 확률은 0.5로 동일합니다.
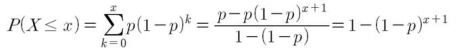
x번째 실험 이전에 성공할 확률은 다음과 같이 구할 수 있습니다.

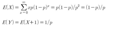
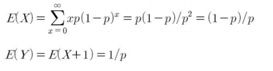
2. 기하분포의 기대값
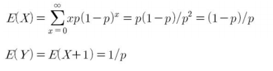
기하분포의 기대값은 다음과 같습니다.

여기서 $X$는 실패한 횟수
$Y$는 시행횟수를 의미합니다.
3. 예시문제
동전을 앞면(p=1/2)이 나올 때 까지 동전을 던지기로 하겠습니다.
2번 이내 끝날 확률은 다음과 같이 구할 수 있습니다.

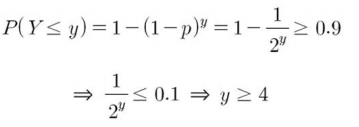
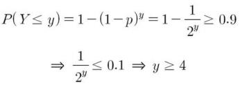
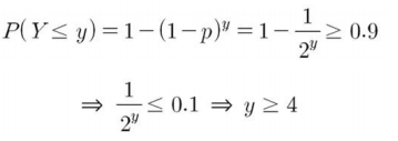
$P(Y \leq y) \geq 0.9$를 만족하는 최소 $y$는 다음과 같이 구할 수 있습니다.

기댓값은 1/p로 2가 나온다는 것을 확인할 수 있습니다.

이상으로 기하분포에 대해서 알아보았습니다. 기하분포는 성공횟수가 아닌 성공을 위한 실행횟수에 관심을 가질 때 이용됩니다. 감사합니다.
'수학 > 기초 통계학' 카테고리의 다른 글
| [통계학] 10-4. 다항분포 (1) | 2020.09.20 |
|---|---|
| [통계학] 10-3. 음이항분포 (0) | 2020.09.20 |
| [통계학] 10-1 포아송분포 (0) | 2020.09.20 |
| [통계학] 09-3. 초기하분포 (0) | 2020.09.20 |
| [통계학] 09-2. 이항분포 (1) | 2020.09.19 |