(통계학-기본개념과 원리, 여인권)을 바탕으로 제작하였습니다.
(k-mooc 통계학의 이해1, 여인권)을 수강하면서 공부한 내용을 정리해보았습니다.
확률표본이 무엇인지 알아보고 이를 이용하여 만든 통계량의 통계적 성질을 유도해보겠습니다.
1. 확률표본 - random sample
확률표본은 모집단에서 무작위로 선택되어진 관측값입니다.
정규분포에서 n개의 표본을 무작위로 뽑았을 때, $i$번째 값을 $X_i$라고 하면,
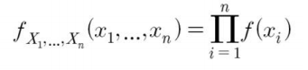
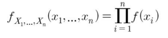
$X_1, X_2, ... , X_n$을 표본크기 $n$인 확률표본이라고 하고 다음과 같이 표시합니다.

여기서 iid의 의미는 서로 독립이고 동일한 분포를 따른다는 의미입니다.
[확률표본의 두가지 중요한 성질]
1. 서로 독립입니다.
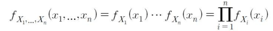
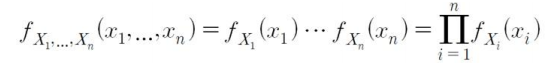
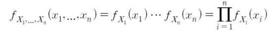
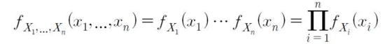
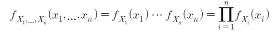
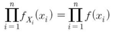
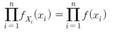
독립이기 때문에 결합분포는 각각의 주변분포 곱으로 표시할 수 있습니다.

2. 동일한 분포를 따릅니다.
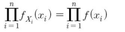
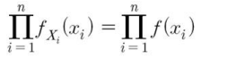
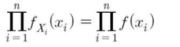
동일한 분포를 따르기 때문에 동일한 확률질량(밀도)함수를 갖습니다.

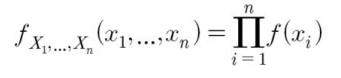
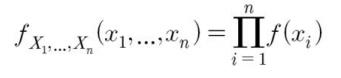
두가지 성질을 이용하여 $X_1, X_2, ... , X_n$이 확률표본이고 $X_i$ ~ $f(x)$이면 다음과 표시할 수 있습니다.

2. 확률표본 예시문제
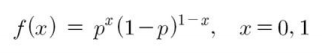
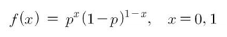
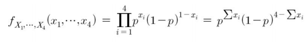
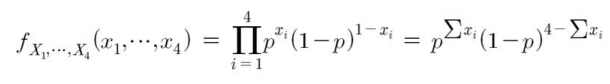
윷놀이를 하는데 각각의 윷이 젖혀질 확률이 $p$라고 하겠습니다.
윷들은 서로 독립이라고 할 수 있습니다.
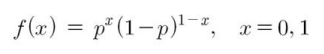
$X_i$를 $i$번째 윷이 젖혀지면 1, 엎어지면 0이라고 하면 $X_i$ ~ $B(1,p)$가 되며 $X_i$의 확률질량 함수는 다음과 같이 표시할 수 있습니다.


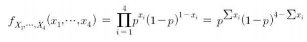
확률표본의 결합확률질량함수는 다음과 같습니다.

3. 통계량 - Statistic
통계량은 관측가능한 표본의 함수를 의미합니다.
관측가능하다는 것은 미지의 모수를 포함하지 않음을 의미합니다.
통계학점 관점에서 표본을 뽑는 이유는 모집단에 대한 추론을 하기 위함입니다.
모평균에 대해 알아보기 위해서는 표본평균을 알아야 합니다.
모분산에 대해 알아보기 위해서는 표분분산을 알아야 합니다.
이처럼 표본평균과 표본분산을 통계량이라고 합니다.
통계량의 분포를 표집분포라고 합니다.
표집분포에 대해서는 다음 포스팅에서 설명하도록 하겠습니다.
[추정량(estimator)과 추정값(estimate)]
추정량은 모수의 추정에서 사용되는 통계량을 의미합니다.
추정값은 추정량의 관측값을 의미합니다.

추정량과 추정값의 의미를 정확히 알아야 합니다.
여기서 $X_i$의 의미는 뽑은 것(표본)을 의미하고
$x_i$는 많은 n을 통해 $X_i$가 하나의 값으로 수렴한 값을 의미합니다.
이상으로 확률분포와 통계값에 대해 알아보았습니다. 감사합니다.
'수학 > 기초 통계학' 카테고리의 다른 글
| [통계학] 14. 중심극한정리 (0) | 2020.09.21 |
|---|---|
| [통계학] 13. 표집분포 (0) | 2020.09.21 |
| [통계학] 11. 정규분포, 표준화, 표준정규분포 (0) | 2020.09.21 |
| [통계학] 10-4. 다항분포 (1) | 2020.09.20 |
| [통계학] 10-3. 음이항분포 (0) | 2020.09.20 |