(통계학-기본개념과 원리, 여인권)을 바탕으로 제작하였습니다.
(k-mooc 통계학의 이해1, 여인권)을 수강하면서 공부한 내용을 정리해보았습니다.
통계량의 확률분포인 표집분포에 대해 알아보겠습니다.
표본평균의 통계적 성질을 살펴보겠습니다.
1. 통계량 - statistic
통계량은 측정 가능한 확률표본의 함수를 의미합니다.
관심통계량은 다음과 같습니다.
표본평균 : $\overline X$ (표본비율 포함)
표본분산 : $S^2$ (표본표준편차)
극한값 : $X_{(n)}$ ~ $X_{(1)}$ -> 범위 ($X_{{1)}, X_{(n)}$)
순위(rank) : $X_i$의 크기 순서
2. 표집분포 - sampling distribution
표집분포는 통계량의 확률분포를 의미합니다.
평균 $\mu$, 분산 $\sigma^2$인 분포에서 $n$개의 확률표본을 추출했을 경우, 표본평균 $\overline{X}$의 분포는?
$$E(\overline X) = \mu $$
$$Var(\overline X) = \sigma^2 / n$$
$$SD(\overline X) = \sigma / \sqrt{n}$$
로 구할 수 있습니다.
여기서 SD는 : 통계량의 표준편차를 의미하는 표준오차(standard error, SE)라고 합니다.
[분포의 형태는?]
(1) 정규분포인 경우
$X_1$ ~ $N(\mu_1, \sigma^2_1)$, $X_2$ ~ $N(\mu_2, \sigma^2_2$)이고, $X_1$과 $X_2$가 독립이면 아래 식을 도출할 수 있습니다.
$X_1 \pm X_2$ ~ $N(\mu_1 \pm \mu_2, \sigma^2_1 + \sigma^2_2)$
이 식을 이용하면 $X_1, .... , X_n$ ~ $N(\mu, \sigma^2)$는 다음과 같습니다.
$X_1 + ... + X_n$ ~ $N(n\mu , n\sigma^2)$
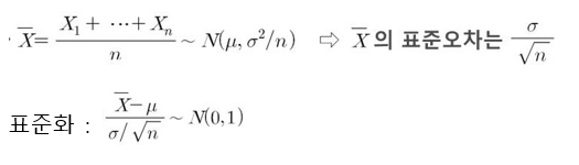
이 식을 이용하면 표본평균의 분포는 다음과 같습니다.

정규확률표본의 표본평균의 분포는 정규분포임을 알 수 있습니다.
(2) 지수족(exponential family)의 경우(정규분포 포함)

독립인 지수족 표본들 합의 분포는 해당 지수족분포입니다.
(3) 다른 분포의 경우

3. 정리

이상으로 표집분포에 대해 알아보았습니다. 감사합니다.
'수학 > 기초 통계학' 카테고리의 다른 글
| [통계학] 15. 이항분포의 정규근사 (1) | 2020.09.21 |
|---|---|
| [통계학] 14. 중심극한정리 (0) | 2020.09.21 |
| [통계학] 12. 확률표본과 통계량 (0) | 2020.09.21 |
| [통계학] 11. 정규분포, 표준화, 표준정규분포 (0) | 2020.09.21 |
| [통계학] 10-4. 다항분포 (1) | 2020.09.20 |