(통계학-기본개념과 원리, 여인권)을 바탕으로 제작하였습니다.
(k-mooc 통계학의 이해1, 여인권)을 수강하면서 공부한 내용을 정리해보았습니다.
시행횟수가 많은 경우 이항분포의 확률을 정규근사로 계산하는 원리에 대해 알아보겠습니다.
이를 통해 비율에 대한 통계적 추론의 이론적 근거를 마련합니다.
1. 이항분포의 정규근사
$X$ ~ $B(n,p)$, $n$이 크고
$p$가 작은 경우 => 포아송 근사
$p$가 큰 경우 => 포아송 근사
$p$가 0.5에서 많이 벗어나지 않은 경우 => 정규근사를 이용합니다.
$X_i$를 $i$번째 시행에서의 베르누이 확률변수 라고 하면 다음과 같이 표시할 수 있습니다.
$$ X = X_1 + X_2 + ... + X_n, P = \frac{X_1 + X_2 + ... + X_n}{n} $$
또한 베르누이 확률변수의 평균과 분산은 각각 $E(X_i) = p$, $Var(X_i) = p(1-p)$입니다.
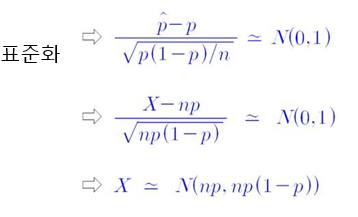
표본비율 $\hat{p} = X/n = \overline{X}$ 라고 한다면 기대값과 분산은 다음과 같이 표시할 수 있습니다.
$$E(\hat{p}) = p, Var(\hat{p}) = Var(X)/n^2 = \frac{p(1-p)}{n}$$
n이 크다면 중심극한정리를 이용하여 아래와 같이 표현할 수 있습니다.
$$\hat{p} \cong N(p, \frac{p(1 - p)}{n})$$
위 식을 표준화 하면 다음과 같은 결과가 도출됩니다.

2. 연속성 수정 - Continuity correction
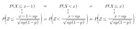
이항확률변수 $X$의 경우, $x$ = 0, 1, ... , $n$에 대해 다음과 같은 관계가 성립합니다.

이처럼 모순이 발생하는데 이러한 문제점을 해결하기 위해서는 $X$의 확률을 계산할 때 등호 포함여부에 따라 확률의 영역을 수정해 주어야 합니다.
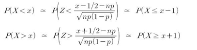
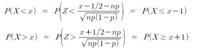
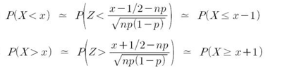
$$P(X < x) => P(X < x + 1/2)$$
$$P(X \leq x) => P(X \leq x - 1/2)$$
$$P(X \geq x) => P(X \geq x - 1/2)$$
$$P(X > x) => P(X > x + 1/2)$$
로 수정해저 정규근사확률을 구합니다.


3. 예시문제
전체 국민 중 60%가 A 정책에 찬성한다고 주장합니다.
150명을 무작위로 뽑아 찬성하는 사람의 비율을 알아보려고 할 때 적극 찬성하는 사람이 78명 이하일 확률은?

이상으로 이항분포의 정규근사에 대해 알아보았습니다. 감사합니다.
'수학 > 기초 통계학' 카테고리의 다른 글
| [통계학] 17. 추정법과 점추정량 - 적률법, 최대가능도추정법, 일치성, 비편향성, 효율성 (0) | 2020.09.22 |
|---|---|
| [통계학] 16. 통계적 추론의 종류 - 모수적 추론, 비모수적 추론, 점추정, 구간추정, 가설검정, 베이즈안 추론 (0) | 2020.09.22 |
| [통계학] 14. 중심극한정리 (0) | 2020.09.21 |
| [통계학] 13. 표집분포 (0) | 2020.09.21 |
| [통계학] 12. 확률표본과 통계량 (0) | 2020.09.21 |