(k-mooc 통계학의 이해2, 여인권)을 수강하면서 공부한 내용을 정리해보았습니다.
구간추정의 주요개념과 과정을 알아보겠습니다.
1. 구간 추정
구간추정은 미지의 모수가 포함될 것으로 기대하는 범위를 확률적으로 택하는 과정입니다.
관심모수가 $\phi$라고 하면 구간추정에서는 아래 식과 같이 $\phi$를 포함할 확률이 1-$\alpha$인 구간 [L, U]를 구합니다.
$$P(L < \phi < U) = 1 - \alpha$$
여기서 [L, U]를 신뢰구간(confidence interval)이라고 합니다.
L과 U는 확률변수로 이를 유도하는데 점추정량이 중심적 역할을 합니다.
또한 100(1-$\alpha$)%를 신뢰수준(confidence level)이라고 합니다.
2. 모평균 $\mu$에 대한 95% 신뢰구간
모집단을 $N(\mu, \sigma^2)$로 가정하고 $\sigma^2$를 알고 있다고 하겠습니다.
표본추출하면 $X_1, X_2, ... , X_n$ ~ iid $N(\mu, \sigma^2)$ 입니다.
$\mu$의 점추정량은 $\overline{X}$ 입니다.
$\overline{X}$를 표준화하면 다음과 같습니다.

여기서 Z는 모수와 통계량으로 이루어져 있고 분포는 미지수를 포함하지 않습니다.
Z를 중심축량(pivotal quantity, 주축량)이라고 합니다.
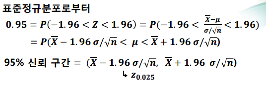
모평균 $\mu$에 대한 95% 신뢰구간을 구해보겠습니다.

95% 신뢰구간에서 -1.96과 1.96 대신 확률을 만족시키는 다른 값을 사용할 수 있습니다.


3. 예시문제
파이에 포함된 칼로리의 모평균
파이의 칼로리는 표준편차가 8인 정규분포를 따른다고 가정하겠습니다.
16개의 파이를 무작위로 조사했을 때 표본평균(kcal)이 $\overline{x}$=162.7이면 모평균의 95% 신뢰구간은 다음과 같이 구할 수 있습니다.

위의 구간 (158.78, 166.62) 사이에 모평균이 있을 확률은 0.95인가? 아닙니다.

여기서 L과 U는 확률변수이지만 $\mu$는 상수이므로 판단할 수 없습니다.
베이지안 추론인 경우에는 $\mu$를 확률변수로 취급하므로 맞다고 할 수 있습니다.
또한 이를 빈도론자(frequentist) 관점에서 보도록 하겠습니다.

이는 표본추출을 하여 $\overline{X_i}$를 100번 만들었을 때 95%는 표본공간이 신뢰구간에 포함하고 5%는 포함하지 않는것을 의미합니다.

4. 정리

'수학 > 기초 통계학' 카테고리의 다른 글
| [통계학] 20. 검정통계량과 오류의 종류 (0) | 2020.09.23 |
|---|---|
| [통계학] 19. 통계적 가설과 가설검정의 원리 (0) | 2020.09.23 |
| [통계학] 17. 추정법과 점추정량 - 적률법, 최대가능도추정법, 일치성, 비편향성, 효율성 (0) | 2020.09.22 |
| [통계학] 16. 통계적 추론의 종류 - 모수적 추론, 비모수적 추론, 점추정, 구간추정, 가설검정, 베이즈안 추론 (0) | 2020.09.22 |
| [통계학] 15. 이항분포의 정규근사 (1) | 2020.09.21 |