End-to-End Semi-Supervised Object Detection with Soft Teacher
https://arxiv.org/abs/2106.09018
End-to-End Semi-Supervised Object Detection with Soft Teacher
This paper presents an end-to-end semi-supervised object detection approach, in contrast to previous more complex multi-stage methods. The end-to-end training gradually improves pseudo label qualities during the curriculum, and the more and more accurate p
arxiv.org

semi-supervised object detection

Mean teacher 베이스.
teacher에 약한 augmentation, student에 강한 augmentation.
teacher의 출력값을 pseudo label로 사용하는데, 두 set을 만든다. 하나는 student의 cls branch, 다른 하나는 regress branch를 학습하기 위함.

두 셋을 만드는 이유는 foreground score가 높다고 localization 정확도가 높은건 아니기 때문이다.
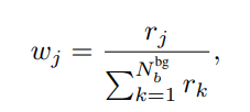
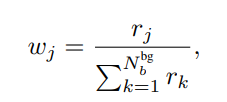
teacher의 pseudo label 퀄리티에따라 성능이 좌우되는데. 높은 threshold를 적용한다. 그러면 recall이 낮아지는 문제가 발생하는데... pseudo label의 recall이 낮아지면 student가 예측한 박스가 foreground임에도 bachground로 할당될 수 있다. 이를 완화하기 위해 relible measure를 도입. 어떻게 측정? student가 생성한 candidate를 teacher의 cls branch로 전달하여 얻은 background score를 활용한다. 이 값을 background loss의 가중치로 가하여 background score가 낮은 candidate는 낮은 loss를 가하게됌.


cls branch를 학습하기 위한 pseudo label을 생성하는 방법을 알아보았다.
그러면 이제 regress branch를 학습시키는 pseudo label을 어떻게 선택하는지 알아보자. fore ground score와 localization accuracy는 비례관계가 아니기 때문에 새로운 measure가 필요하당
논문에서는 Box Jittering 방법을 사용.



foreground score가 0.5이상인 박스에 대하여 jittering을 가하고 teacher로 refine한다. 이 과정을 반복하여 box regression variance를 얻는데 이 값이 threshold보다 낮으면 그 박스를 pseudo label로 사용한다.


GitHub - Seonghoon-Yu/AI_Paper_Review: 논문을 읽고 블로그에 정리합니다. 정리한 내용을 공유합니다.
논문을 읽고 블로그에 정리합니다. 정리한 내용을 공유합니다. Contribute to Seonghoon-Yu/AI_Paper_Review development by creating an account on GitHub.
github.com