여인권 교수님의 KMOOC 강의 <통계학의 이해 2>를 수강하면서 공부한 내용을 정리해보았습니다.
독립 표본을 통해 분산이 같은 세 정규 모집단의 평균 비교하는 방법을 알아보겠습니다.
모든 조합에 대해 평균 차에 의한 가설검정으로 결과를 도출할 때 발생하는 문제에 대해 알아보겠습니다.
세 모집단 평균 비교
두 모집단의 경우 모평균의 차를 이용했지만 세 모집단의 경우는 검정통계량을 찾기 어렵습니다.

세 모집단의 평균 비교를 하는 방법으로 다중검정을 생각할 수 있습니다.
방법 1. 모든 쌍에 대해 t-검정 => 다중 검정
다중검정시에 유의수준 문제가 발생하게 됩니다.
하지만 다중검정시에 유의수준 문제가 발생하게 됩니다.


다중검정의 문제에 대해 알아보겠습니다.

다중검정을 통해 유의수준이 도출되었을 때 본페르니의 부등식에 의해 다음과 같이 표현할 수 있습니다.

각 가설에 대해 5% 유의수준의 검정결과를 결합하여 결론을 내는 검정의 방법의 실제 유의수준은 최대 15%가 될 수 있다는 것이 문제입니다.
분산분석(Analysis of Variance, ANOVA)
분산분석은 각각의 모집단의 분산이 동일하다고 가정하였을 때 그룹 내의 분산에 비해 그룹 간의 분산이 얼마나 큰지를 비교함으로써 평균 간에 차이가 있는지를 알 수 있습니다.
우선 예시로 두 모집단의 평균비교를 분산분석으로 확인해보겠습니다.
1. 두 모집단 평균비교(독립표본, 등분산)
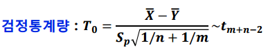
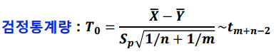
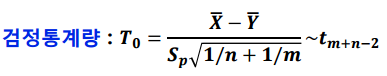
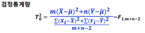
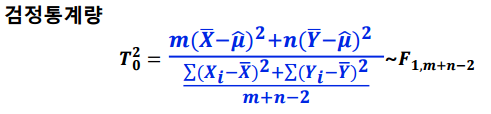
독립표본이고 등분산일 때 검정통계량은 다음과 같이 도출할 수 있습니다.

검정통계량은 자유도가 m+n-2인 t분포로 나타낼 수 있습니다.
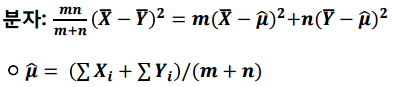
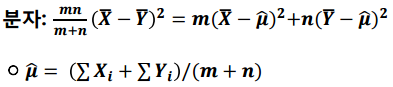
여기서, $S_p$는 합동표본표준편차입니다.
합동표본표준편차를 제곱하면 다음과 같습니다.

합동표본표준분산은 공통 분산을 대신할 수 있습니다.
이를 이용하기 위해 검정통계량도 제곱을 하겠습니다.

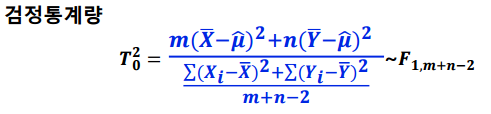
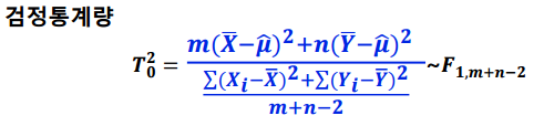
이는 자유도가 누인 F분포를 따르게 됩니다. 1은 분자 추정자유도이고, m+n-2는 분모추정 자유도 입니다.
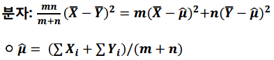
분자를 풀어쓰면 검정통계량을 다음과 같이 나타낼 수 있습니다.


여기서 $T_0^2$의 분모와 분자의 의미를 알아보겠습니다.
$T_0^2$의 분모는 분산이 같다는 가정 하에서의 공통분산 $\sigma^2$의 추정량을 의미합니다.
이는 각 그룹의 관측값들이 해당 그룹의 표본평균을 중심으로 얼마나 퍼져 있는지를 나타내는 통계량입니다.
=> 그룹 내에서의 분산
$T_0^2$의 분자는 전체평균을 중심으로 각 그룹의 평균들이 얼마나 퍼져있는지를 나타내는 통계량입니다.
=> 그룹 평균 간의 분산
분자는 $\overline{X} - \hat{\mu}$ 와 $\overline{X} - \hat{\mu}$ 중 하나만 알면 다른 값을 알 수 있기 때문에 자유도는 1이 됩니다.

그룹 내의 분산에 비해 그룹 간의 분산이 얼마나 큰지를 비교함으로써 평균 간에 차이가 있는지를 알 수 있습니다.
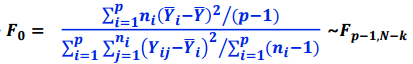
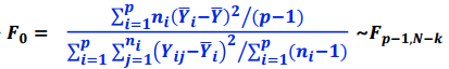
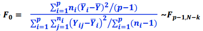
2. p개의 모평균 비교
이번에는 p개의 모평균을 비교하도록 하겠습니다.

검정통계량은 다음과 같이 나타낼 수 있습니다.

$F_0$의 분모는 각 모집단의 분산이 동일하다는 가정 하에서 유도된 값입니다.
3. 예제 문제
결혼 연령대에 따라 부부간 신장의 평균 차 비교입니다.
자료는 남편신장 - 부인신장 값 입니다.

검정통계량을 도출하기 위해 세 가지 값이 필요합니다.
(1) 전체 평균

(2) (각 그룹의 표본평균 - 전체 평균)의 제곱

(3) (각 그룹의 관측값 - 각 그룹의 표본평균)의 제곱

위 세가지 값을 구했으면 검정통계량을 도출할 수 있습니다.

검정통계량의 값이 5% 유의수준보다 크므로 귀무가설은 기각됩니다.

4. 정리

'수학 > 기초 통계학' 카테고리의 다른 글
| [통계학] 일원배치 분산분석 - 고정효과모형 - 요인이 하나 수준은 임의적 (0) | 2020.10.08 |
|---|---|
| [통계학] 분산분석에서의 용어와 개념 - 실험계획법, 설명변수, 공변량, 요인, 반응변수, 처리, 수준 (0) | 2020.10.07 |
| [통계학] 두 모집단 비율 비교 - 가설검정방법, 대표본, 표본크기가 작은 경우 (0) | 2020.10.06 |
| [통계학] 32. 두 모집단 비율 비교 - 비율 차, 구간 추정, 신뢰 구간, 중심축량 (0) | 2020.10.05 |
| [통계학] 31. 두 모집단의 분산 비교 - 독립표본, 분산비, F분포, 신뢰구간, 가설검정 (0) | 2020.10.04 |