여인권 교수님의 KMOOC 강의 <통계학의 이해 2>를 수강하면서 공부한 내용을 정리해보았습니다.
[통계학] 32. 두 모집단 비율 비교 - 비율 차, 구간 추정, 신뢰 구간, 중심축량
여인권 교수님의 KMOOC 강의 <통계학의 이해 2>를 수강하면서 공부한 내용을 정리해보았습니다. 두 모집단 비율 비교 독립표본을 통해 두 범주로 이루어진 두 모집단의 비율을 비교하는 방법을
deep-learning-study.tistory.com
저번 포스팅에서 정규분포로 가정간 두 모집단 비율 비교에서 신뢰구간을 구하는 법을 공부했습니다.
이번 포스팅에서는 가설검정방법에 대해 알아보겠습니다.
두 모집단 비율 비교 - 가설검정방법
대표본의 경우 비율차를 바탕으로 한 가설검정방법을 알아보겠습니다.
표본크크기가 크지 않는 경우 비율 비교에 대한 가설검정방법을 알아보겠습니다.
1. 대표본의 경우 가설검정방법
각각의 모집단은 동일한 두 범주(S, F)로 나누어져 있다고 가정하겠습니다.

관심대상은 다음과 같습니다.

비율 비교는 두 모집단이 베르누이 시행을 진행했다고 가정하겠습니다.

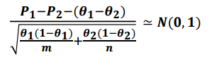
중심축량은 다음과 같습니다.

중심축량을 도출했으므로 가설검정을 하겠습니다.
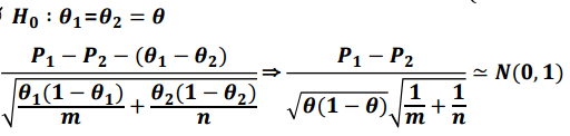
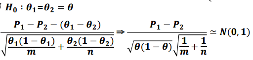
(1) 가설 설정

(2) 중심축량에 대입

(3) 두 모집단의 각각의 성공횟수와 시행횟수를 더하여 공통비율을 도출할 수 있습니다.

(4) 검정통계량 도출

주의할 점은 가설검정이랑 구간추정의 검정통계량이 다르다는 것 입니다.
(5) 유의수준을 설정하고 기각역 설정

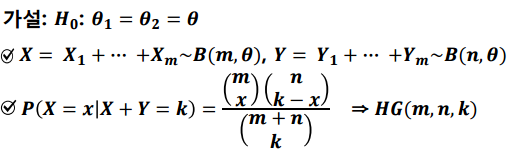
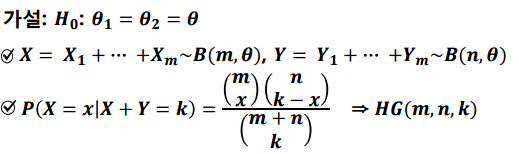
2. 표본크기가 작은 경우 가설검정방법
표본크기가 작은 경우에는 중심극한정리를 이용한 정규근사가 어렵습니다.
Fisher의 정확검정을 이용해야 합니다.
또한 두 모집단의 공통비율은 비복원추출을 하는 초기하분포를 따릅니다.


P값을 초기하분포로 구한다는 것이 핵심입니다.
3. 정리

'수학 > 기초 통계학' 카테고리의 다른 글
| [통계학] 분산분석에서의 용어와 개념 - 실험계획법, 설명변수, 공변량, 요인, 반응변수, 처리, 수준 (0) | 2020.10.07 |
|---|---|
| [통계학] 세 모집단의 평균 비교 - 다중검정의 문제점과 분산분석의 개념 (0) | 2020.10.07 |
| [통계학] 32. 두 모집단 비율 비교 - 비율 차, 구간 추정, 신뢰 구간, 중심축량 (0) | 2020.10.05 |
| [통계학] 31. 두 모집단의 분산 비교 - 독립표본, 분산비, F분포, 신뢰구간, 가설검정 (0) | 2020.10.04 |
| [통계학] 30. 대응 표본을 통해 모집단의 평균을 비교하는 방법 (0) | 2020.10.01 |