반응형
여인권 교수님의 KMOOC 강의 <통계학의 이해 2>를 수강하면서 공부한 내용을 정리해보았습니다.
두 모집단 비율 비교
독립표본을 통해 두 범주로 이루어진 두 모집단의 비율을 비교하는 방법을 알아보겠습니다.
비율 차에 대한 중심축량과 이를 바탕으로 한 구간추정방법을 알아보겠습니다.
1. 모집단 가정과 점추정, 중심축량 구하기
각각의 모집단은 동일한 두 범주 (S, F)로 나누어져 있다고 가정하겠습니다.
여기서 S는 성공, F는 실패입니다.
또 각각의 표본은 정규분포를 따른다고 가정하겠습니다.

관심문제를 설정하겠습니다.

4번이 통계적 성질은 가장 좋지만, 형태가 어려우므로 이 강의에서는 1번 비율차에 대해서 다뤘습니다.
두 모집단에서 베르누이 시행으로 표본을 추출했다고 가정하겠습니다.

모집단을 가정 했으므로 비율차에 대한 점추정을 하고 통계적 성질을 나타내보겠습니다.
베르누이 시행이므로 점추정량은 다음과 같이 나타낼 수 있습니다.

기댓값과 분산은 다음과 같습니다.

정규분포로 근사했으므로 점추정량을 다음과 같이 나타낼 수 있습니다.


비율 차에 대한 통계적 성질입니다.

비율차를 중심극한정리를 통해 중심축량을 구할 수 있습니다.

정규근사가 되기 위해서는 다음과 같은 조건이 필요합니다.

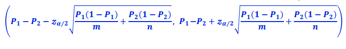
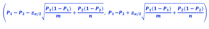
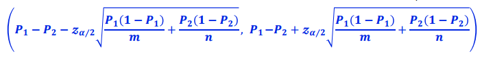
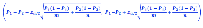
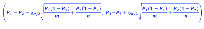
2. 두 모집단 비율 차의 구간 추정
중심축량을 구했으므로 구간추정을 할 수 있습니다.
비율차에 대한 신뢰구간은 다음과 같이 구할 수 있습니다.


3. 정리

반응형
'수학 > 기초 통계학' 카테고리의 다른 글
| [통계학] 세 모집단의 평균 비교 - 다중검정의 문제점과 분산분석의 개념 (0) | 2020.10.07 |
|---|---|
| [통계학] 두 모집단 비율 비교 - 가설검정방법, 대표본, 표본크기가 작은 경우 (0) | 2020.10.06 |
| [통계학] 31. 두 모집단의 분산 비교 - 독립표본, 분산비, F분포, 신뢰구간, 가설검정 (0) | 2020.10.04 |
| [통계학] 30. 대응 표본을 통해 모집단의 평균을 비교하는 방법 (0) | 2020.10.01 |
| [통계학] 29. 두 모집단 평균 비교 - 독립표본, 분산이 다른 경우 (0) | 2020.10.01 |