여인권 교수님의 KMOOC 강의 <통계학의 이해 2>를 수강하면서 공부한 내용을 정리해보았습니다.
두 모집단 평균 비교 - 독립표본, 분산이 다른 경우
독립표본을 통해 분산이 다른 두 정규 모집단의 평균 비교하는 방법을 알아보겠습니다.
평균 차에 대한 중심축량과 이를 바탕으로 한 구간추정과 가설검정방법을 알아보겠습니다.
1. 정규모집단으로 가정한 경우 통계값 도출
(1) 두 개의 모집단에서 얻은 표본은 독립표본입니다.

(2) 점추정은 표본평균의 차를 이용합니다.

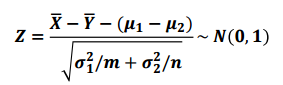
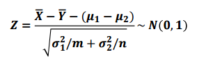
(3) 표본평균 차의 통계적 성질은 다음과 같습니다.

(4) 정규확률변수의 선형결합도 정규분포를 따릅니다.

독립이기 때문에 공분산을 고려할 필요가 없습니다.
(5) 표준화하면 다음과 같습니다.

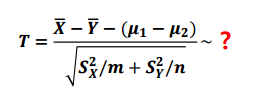
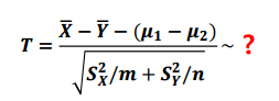
2. 중심축량 구하기
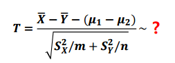
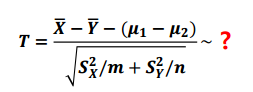
두 모집단의 분산이 같은 경우와 다른 경우의 차이점은 중심축량이 어떠한 분포를 띄고 있는지 입니다.
분산이 다른 경우 중심축량을 보겠습니다.

아직까지 중심축량이 어떤 분포를 따르는지 밝혀지지 않았습니다.
하지만 베렌스-피셔 문제로 자유도가 v인 t분포로 근사할 수 있습니다.

자유도를 직접 구하기는 어렵습니다. 따라서 통계프로그램을 이용해야 합니다.
3. 신뢰구간 구하기
두 모집단의 평균의 차에 대한 신뢰구간은 다음과 같이 구할 수 있습니다.

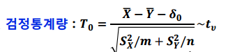
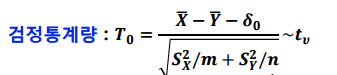
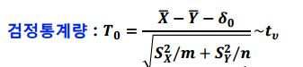
4. 가설검정
분산이 동일한 경우와 다른 경우의 차이점은 검정통계량이 다릅니다.
(1) 가설 설정하기

(2) 중심축량에서 귀무가설을 대입해 검정통계량 도출하기


(3) 유의수준을 설정하고 기각역 구하기

5. 두 모집단을 정규모집단으로 가정하지 못한 경우
위의 방법은 두 모집단을 정규모집단으로 가정한 경우입니다.
두 모집단을 정규모집단으로 가정하지 못하는 경우를 알아보겠습니다.
(1) 대표본의 경우
a. 정규성 가정을 만족하면 위의 방법 그대로 적용합니다.
b. 심각한 이상점이 없지만 정규성 가정을 만족하지 못하는 경우
- 중심축량, 검정통계량이 동일하다고 가정하고 분포는 근사적으로 정규분포를 따른다고 가정합니다.
(2) 이상점이 존재하는 경우
Wilcoxon 순위합검정과 같은 비모수적 방법을 이용합니다.
(3) 재표집 방법을 통한 추론도 가능합니다.
6. 정리

'수학 > 기초 통계학' 카테고리의 다른 글
| [통계학] 31. 두 모집단의 분산 비교 - 독립표본, 분산비, F분포, 신뢰구간, 가설검정 (0) | 2020.10.04 |
|---|---|
| [통계학] 30. 대응 표본을 통해 모집단의 평균을 비교하는 방법 (0) | 2020.10.01 |
| [통계학] 29. 두 모집단 평균 비교 - 독립표본, 분산이 같은 경우 (0) | 2020.10.01 |
| [통계학] 28. 독립표본과 대응표본 (2) | 2020.10.01 |
| [통계학] 27. 모비율 추론을 위한 표본크기 결정 (0) | 2020.09.29 |