(k-mooc 통계학의 이해2, 여인권)을 수강하면서 공부한 내용을 정리해보았습니다.
구간추정에 기반한 표본크기결정 방법을 알아 보겠습니다.
가설검정에 기반한 표본크기결정 방법을 이해하겠습니다.
1. 구간추정에 의한 표본 크기 결정
구간추정에 기반한 표본크기결정 방법에 대해 알아보겠습니다.
모비율에서 $\delta$는 $\theta_1$ - $\theta_2$를 의미합니다.
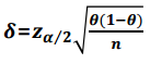
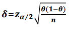
100(1-a)% 신뢰수준에서 허용오차범위가 $\pm\delta$일 때 n(표본크기)은 다음과 같이 구할 수 있습니다.

표본의 크기는 모수추정의 정확도 및 신뢰도에 영향을 줍니다.

2. 예시 문제
이번 조사는 M**회사가 R**회사에 의뢰해 지난 20일 전국 19세 이상 성인남녀 1천명을 전화설문한 결과로 신뢰수준 95%에 표본오차는 $\pm 3.1%$입니다.
이때, 적절한 표본크기를 구해보겠습니다.
100(1-a)% 신뢰수준에서 허용오차범위가 $\pm\delta$일 때 다음 식을 도출할 수 있습니다.

여기서 검정통계량을 위 식에 대입합니다.

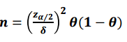
그리고 풀어쓰면 허용오차범위를 도출할 수 있습니다.

여기서 n으로 정리하면 다음 식이 됩니다.

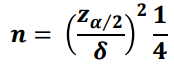
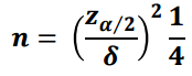
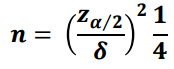
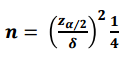
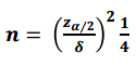
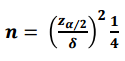
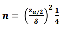
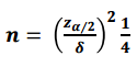
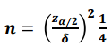
만약 $\theta$에 대한 정보가 없는 경우 모든 $\theta$에 대해 성립하도록 n을 설정해야 합니다.
$\theta$가 0.5 일때 $\theta (1 - \theta)$ 가 가장 크게 됩니다.
따라서 아래의 식이 됩니다.

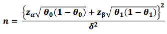
3. 가설검정을 위한 표본크기결정
가설검정에 기반한 표본크기결정 방법은 유의수준 $\alpha$, 검정력 1 - $\beta$, 유효효과 $\delta$를 설정해야 합니다.
위 세 가지 조건이 설정되었으면 표본크기(n)은 다음과 같이 구할 수 있습니다.

여기서 $\theta_0$은 귀무가설 확률, $theta_1$은 대립가설 확률을 의미합니다.
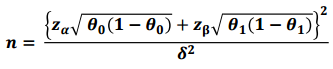
4. 예시 문제
기존 진통제를 복용했을 때 진통효과를 10시간 이상 지속될 확률은 40%였는데 예비연구결과 새로운 진통제는 50%이라고 하겠습니다. 5% 유의수준과 80% 검정력으로 유효성 평가를 하려면 몇 명의 피험자를 대상으로 임상시험을 진행해야 합니까?
위 문제에서 표본크기는 다음과 같이 구할 수 있습니다.

'수학 > 기초 통계학' 카테고리의 다른 글
| [통계학] 29. 두 모집단 평균 비교 - 독립표본, 분산이 같은 경우 (0) | 2020.10.01 |
|---|---|
| [통계학] 28. 독립표본과 대응표본 (2) | 2020.10.01 |
| [통계학] 26. 모비율에 대한 통계적 추론 (0) | 2020.09.24 |
| [통계학] 25. 모분산에 대한 통계적 추론 (0) | 2020.09.24 |
| [통계학] 24. 모평균 추론을 위한 표본크기 결정 (0) | 2020.09.24 |