반응형
(k-mooc 통계학의 이해2, 여인권)을 수강하면서 공부한 내용을 정리해보았습니다.
구간추정에 기반한 표본크기결정 방법을 알아보겠습니다.
가설검정에 기반한 표본크기결정 방법을 알아보겠습니다.
1. 모수추정을 위한 표본크기 결정
표본의 크기는 모수추정의 정확도 및 신뢰도에 영향을 줍니다.
신뢰도는 신뢰수준으로 결정하고
정확도는 오차범위(오차: $\overline{X} - \mu$)로 결정합니다.
1.1 정규분포의 경우 오차범위를 이용한 표본크기 결정
정규분포의 경우 오차범위를 이용해서 표본크기를 결정할 수 있습니다.
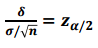
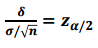
(1) 100(1-a)% 신뢰수준에서 허용오차범위가 $\pm\delta$라고 하면 다음과 같이 표시할 수 있습니다.

(2) 정규분포의 경우 중심극한정리에 의해 다음과 같습니다.

(3) 이 식으로부터 표본크기(n)을 도출할 수 있습니다.

(4) $\sigma$를 S(표준편차)로 대체할 수 있습니다.
2. 가설검정을 위한 표본크기 결정
가설검정을 위한 표본크기 결정방법을 알아보겠습니다.
(1) 가설 설정

(2) 중심극한정리를 통한 유의수준 결정

유의수준은 $H_0$이 참일 때 $H_0$이 거짓이라고 판정한 것입니다. 따라서 $z_a$보다 커야합니다.
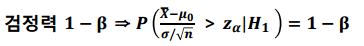
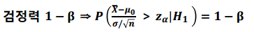
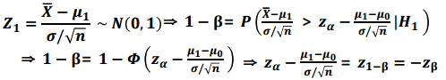
(3) 검정력 도출

제2종 오류는 $H_1$이 참일 때 $H_0$도 참이라고 설정한 것입니다.
검정력은 1-B이므로 P()안의 부호를 바꿔줘야 합니다.
(4) 대립가설이 맞다는 것을 기준으로 검정력 도출

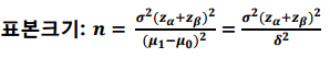
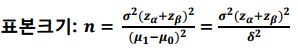
(5) 표본크기 도출

2.1 예시문제

주의할점
(1) 임상실험은 보통 a/2 양측검정을 사용합니다.
(2) 20% 탈략율을 고려해야 합니다.
3. 정리

반응형
'수학 > 기초 통계학' 카테고리의 다른 글
| [통계학] 26. 모비율에 대한 통계적 추론 (0) | 2020.09.24 |
|---|---|
| [통계학] 25. 모분산에 대한 통계적 추론 (0) | 2020.09.24 |
| [통계학] 23. 모평균에 대한 통계적 추론 (0) | 2020.09.24 |
| [통계학] 22. 유의확률(p-값) (0) | 2020.09.24 |
| [통계학] 21. 유의수준과 검정력 (0) | 2020.09.23 |