(k-mooc 통계학의 이해2, 여인권)을 수강하면서 공부한 내용을 정리해보았습니다.
구간추정에 기반한 표본크기결정 방법을 알아보겠습니다.
모비율 추론을 하는데 있어 주의해야 할 사항을 알아보겠습니다.
1. 모비율 추론
모비율을 추론할 때는 성공확률에 관심을 갖는 베르누이 확률을 이용합니다.

점추정량은 다음과 같이 구할 수 있습니다.
모비율($\theta$)를 표본비율(P)로 추정한 것입니다.

또한 평균과 같은 형태이므로 표본크기가 클 때 중심극한정리를 이용할 수 있습니다.

정규근사는 다음과 같은 조건이 있습니다.

2. 모비율의 구간추정
모비율의 구간추정하는 방법을 알아보겠습니다.
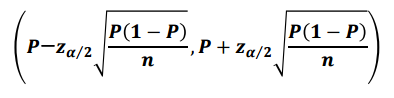
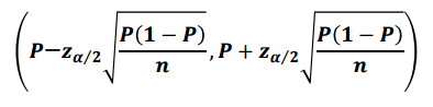
(1) 중심축량을 구합니다.

(2) 신뢰기준을 설정하고 신뢰구간을 구합니다.

(3) 미지모수($\theta$)가 포함되어 있으므로 표본비율(P)로 대체해줍니다.

2.1 예시문제
이 지역에서 출생한 73380명 중 아들은 38100명 이라고 하겠습니다.
이 지역의 남아의 출생비율 $\theta$에 대한 95% 신뢰구간을 구해보도록 하겠습니다.

95% 신뢰구간은 0.5156 ~ 0.5228 입니다.
3. 모비율의 가설검정
모비율의 가설검정하는 방법을 알아보겠습니다.
(1) 가설을 설정합니다.

(2) 검정통계량을 구합니다.

(3) 유의수준을 설정하고 기각역을 도출합니다.

3.1 예시문제
이 지역에서 출생한 73380명 중 아들은 38100명 이라고 하겠습니다.
남아 출생비율이 여아 출생비율보다 높은지를 검정하겠습니다.
(1) 가설설정

(2) 검정통계량 도출

(3) 유의수준 설정하기 1%의 유의수준

(4) p값 구하기

4. 표본크기가 작은 경우
표본크기가 작은 경우에는 중심극한정리를 이용한 정규근사가 어렵습니다.

5. 정리

'수학 > 기초 통계학' 카테고리의 다른 글
| [통계학] 28. 독립표본과 대응표본 (2) | 2020.10.01 |
|---|---|
| [통계학] 27. 모비율 추론을 위한 표본크기 결정 (0) | 2020.09.29 |
| [통계학] 25. 모분산에 대한 통계적 추론 (0) | 2020.09.24 |
| [통계학] 24. 모평균 추론을 위한 표본크기 결정 (0) | 2020.09.24 |
| [통계학] 23. 모평균에 대한 통계적 추론 (0) | 2020.09.24 |