반응형
(k-mooc 통계학의 이해2, 여인권)을 수강하면서 공부한 내용을 정리해보았습니다.
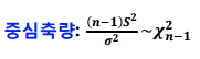
분산추론을 위한 중심축량에 대해 알아보겠습니다.
분산과 표준편차의 구간추정과 가설검정법을 알아보겠습니다.
1. 카이제곱분포 - chi-square distribution
분산의 중심축량은 카이제곱분포로 표현할 수 있습니다.


[자유도에 따른 카이제곱분포 형태]

자유도가 클수록 옆으로 퍼진다는 것을 확인할 수 있습니다.
[카이제곱분포에서의 분위수]
카이제곱분포는 비대칭입니다.

비대칭이므로 양쪽의 면적이 다릅니다.
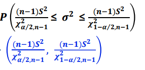
2. 구간추정
(1) 중심축량을 이용하여 다음과 같은 식을 도출할 수 있습니다.

(2) 신뢰구간은 [L < $\sigma^2$ <U] 입니다. 따라서 $\sigma^2$로 정리할 수 있습니다.


2.1 예시문제
생산된 제품의 강도가 어느 수준에서 안정적으로 생산되는지 알아보기 위해 임의로 8개를 선택하여 제품강도를 측정했습니다. 안정성은 분산으로 평가하기로 했습니다.

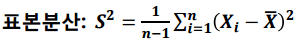
(1) 표본분산값을 구합니다.


(2) 유의수준을 구합니다.

(3) 분산의 신뢰구간을 구합니다.

(4) 표준편차의 신뢰구간을 구합니다.

3. 가설검정
가설검정하는 법을 알아보겠습니다.
(1) 가설 설정

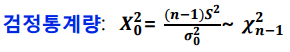
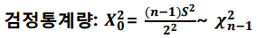
(2) 검정통계량 도출

(3) 유의수준을 설정하고 기각역 설정

3.1 예시문제
표준편차가 2미만일 때 안정적인 품질관리가 유지된다고 할 때 품질관리가 유지되는지 검정
(1) 가설 설정

(2) 검정통계량 도출

(3) 유의수준과 기각역 도출

(4) 결론

4. 정리

반응형
'수학 > 기초 통계학' 카테고리의 다른 글
| [통계학] 27. 모비율 추론을 위한 표본크기 결정 (0) | 2020.09.29 |
|---|---|
| [통계학] 26. 모비율에 대한 통계적 추론 (0) | 2020.09.24 |
| [통계학] 24. 모평균 추론을 위한 표본크기 결정 (0) | 2020.09.24 |
| [통계학] 23. 모평균에 대한 통계적 추론 (0) | 2020.09.24 |
| [통계학] 22. 유의확률(p-값) (0) | 2020.09.24 |