(k-mooc 통계학의 이해2, 여인권)을 수강하면서 공부한 내용을 정리해보았습니다.
유의확률(p값)이 무엇이고 어떻게 사용하는지를 알아 보겠습니다.
1. 모평균의 검정방법
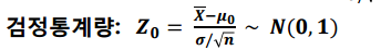
가정 : $X_1, X_2, ... , X_n$ ~ iid $N(\mu, \sigma^2), \sigma^2$는 알고 있음
가설설정

가설을 설정한 뒤에 추출한 표본의 표본평균의 중심축량을 구합니다.

중심축량에 귀무가설을 대입하여 검정통계량을 도출합니다.

유의수준을 설정하고 그에 따른 기각역을 도출할 수 있습니다.

검정통계량 값이 기각역에 포함되면 귀무가설을 기각합니다.
2. 예시문제
새로운 파이의 칼로리가 기존 칼로리 165kcal보다 낮다는 것을 보이기 위해 25개의 파이를 조사한다고 하겠습니다.
가정 : 칼로리 분포는 $N(\mu, 20^2)$
가설 설정

검정통계량 도출

유의수준 설정

표본평균이 156일 때 검정통계량

결론: 5% 유의수준에서 새로운 파이의 평균칼로리는 기존 파이의 칼로리 보다 낮다고 할 수 있습니다.
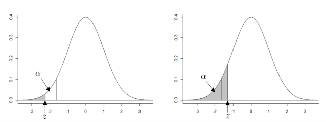
만약에 사용자가 임의대로 유의수준을 변경하게 되면 여러 가지 유의수준에 대한 기각역을 구해야 합니다. 이런 번거로움을 해결하는 방법으로 유의확률이라는 것을 사용합니다.
3. 유의확률
사용자가 임의대로 유의수준을 변경하게 되면 여러 가지 유의수준에 대한 기각역을 구해야 합니다. 이런 번거로움을 해결하는 방법으로 유의확률을 사용합니다.

$\alpha$가 유의수준이고 $z$는 유의확률입니다. 이처럼 유의확률이 유의수준의 면적에 포함 여부에 따라 기각을 결정할 수 있습니다.

4. 정리

'수학 > 기초 통계학' 카테고리의 다른 글
| [통계학] 24. 모평균 추론을 위한 표본크기 결정 (0) | 2020.09.24 |
|---|---|
| [통계학] 23. 모평균에 대한 통계적 추론 (0) | 2020.09.24 |
| [통계학] 21. 유의수준과 검정력 (0) | 2020.09.23 |
| [통계학] 20. 검정통계량과 오류의 종류 (0) | 2020.09.23 |
| [통계학] 19. 통계적 가설과 가설검정의 원리 (0) | 2020.09.23 |