(k-mooc 통계학의 이해2, 여인권)을 수강하면서 공부한 내용을 정리해보았습니다.
모평균에 대한 구간추정과 가설검정법을 알아보겠습니다.
평균추론을 위한 중심축량에 대해 알아보겠습니다.
1. 모집단 가정
모집단을 가정할 때 다음과 같이 구분할 수 있습니다.
(1) 정규분포 형태를 가짐
(2) 정규분포라고 보기 어려움
(a) 표본크기가 큼: 대표본
(b) 표본크기가 크지 않고 이상점이 존재
이에 따른 모평균 추론법에 대해 알아보겠습니다.
2. 모집단을 정규모집단으로 가정 N($\mu, \sigma^2$)
(1) 정규성 가정의 적절성 확인이 필요합니다.
(a) Shapiro-Wilk test, Jacque-Bera test 등등
(2) 모평균과 모분산을 모르는 경우 모평균을 0으로 만들어 줄 수 있습니다.
확률표본이 $X_1, X_2, ... , X_n$ ~ iid $N(\mu, \sigma^2)$ 일때
대체 표현으로 $X_i = \mu + \epsilon_i, \epsilon_i$ ~ iid $N(0, \sigma^2) 로 표현할 수 있습니다.
(3) 모평균을 점추정
표본평균으로 점추정하여 모평균을 나타낼 수 있습니다.
(4) 표본평균 $\overline{X}$의 성질

$\sigma$는 대부분의 경우 모르므로 표본편차 S로 추정할 수 있습니다.
따라서 중심축량은 다음과 같이 됩니다.

중심축량이 어느 분포를 따르는지 모릅니다.
t분포를 가정할 수 있습니다.
2.1 Student t-분포
T(중심축량)을 t-분포로 가정할 수 있습니다.

$t_v$는 자유도가 $v$인 t-분포입니다.
함수는 다음과 같습니다.

t-분포 그래프

0을 중심으로 대칭이며 정규분포보다 꼬리부분이 두꺼운 것을 알 수 있습니다.
자유도(n-1)이 커질수록 표준정규분포에 근접한다는 것을 알 수 있습니다.
t-분포 확률 및 분위수 계산은 표를 보고 확인할 수 있습니다.

세로 축은 자유도, 가로 축은 분위수를 의미합니다.
2.2 t-분포의 모평균 구간 추정
다음과 같이 구간추정을 할 수 있습니다.

2.3 t-분포 모평균의 가설검정

2.4 예제문제

(1) 0.025일때 t는 t-분포 표를보고 구할 수 있습니다.

(2) 신뢰구간은 다음과 같이 구할 수 있습니다.


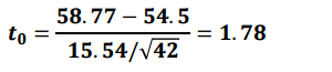
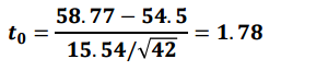
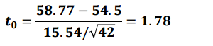
이제 t분포에서 가설검정을 해보도록 하겠습니다.
해당연도의 전체 대졸 취업률은 54.5%정도가 된다고 할 때 통계학 관련학과의 취업률 평균이 전체 취업률보다 높다고 할 수 있는가?
(3) 가설설정

(4) 검정통계량 구하기

(5) 표를 보고 5% 유의수준 확률 구하기

(6) 검정통계량과의 비교

(7) 표를 보고 유의확률 구하기

3. 정규성을 만족하지 않는 경우 (대표본일 때)
정규성을 만족하지 않지만 표본크기가 크다고 가정하겠습니다.
표본크기가 크므로 정규분포로 근사할 수 있습니다.
t분포와의 차이점은 정규분포표를 보고 유의수준을 결정하는 것 입니다.

3.1 예시문제


4. 정규성을 만족하지 않는 경우 (비모수적 방법)
비모수적 방법은 표본크기가 크지 않고 이상점이 존재할 때 이용합니다.
분포에 대한 특별한 제약조건이 없으며 중심위치에 대한 검정을 합니다.
(a) 부호검정(sign test)
예) 42개 중 28개가 54.5보다 큼 => p값 = 0.0218 (중심위치를 기준으로 왼쪽은 실패, 오른쪽은 성공으로 하여 성공확률은 1/2인 이항분포 X~B(42,1/2)로 구한 값 입니다.
(b) wilcoxon부호순위검정
예) 양의 부호 순위합 = 604 => p값=0.0287
5. 재표집 방법
특별한 제약조건이 없습니다. 표본을 모집단이라고 가정하여 표본에서 무작위로 n개를 복원추출합니다.

6. 정리

'수학 > 기초 통계학' 카테고리의 다른 글
| [통계학] 25. 모분산에 대한 통계적 추론 (0) | 2020.09.24 | 
|---|---|
| [통계학] 24. 모평균 추론을 위한 표본크기 결정 (0) | 2020.09.24 | 
| [통계학] 22. 유의확률(p-값) (0) | 2020.09.24 | 
| [통계학] 21. 유의수준과 검정력 (0) | 2020.09.23 | 
| [통계학] 20. 검정통계량과 오류의 종류 (0) | 2020.09.23 |