반응형
여인권 교수님의 KMOOC 강의 <통계학의 이해 2>를 수강하면서 공부한 내용을 정리해보았습니다.
두 모집단 평균 비교 - 독립표본, 분산이 같은 경우
독립표본을 통해 분산이 같은 두 정규 모집단의 평균 비교하는 방법을 알아보겠습니다.
평균 차에 대한 중심축량과 이를 바탕으로 한 구간추정과 가설검정방법을 알아보겠습니다.
1. 두 모집단 비교에서의 가정
(1) 두 모집단 모두 정규 분포 형태를 갖는다.
(2) 정규 분포라고 보기 어렵다.
a. 표본크기가 큰 경우 정규 분포로 가정(대표본)
b. 표본크기가 크지 않고 이상점이 존재(비 모수적 방법 이용)
크게 두 가지 경우로 가정해볼 수 있습니다.
2. 정규 모집단으로 가정한 경우 신뢰구간
신뢰구간 구하는 방법을 알아보겠습니다.
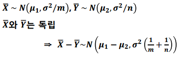
정규 모집단으로 가정한 경우 다음과 같습니다.



또한 정규확률변수의 선형결합도 정규분포를 따릅니다.

독립이므로 공분산을 고려할 필요가 없습니다.

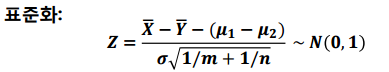
표준화한 값을 중심축량으로 이용합니다.
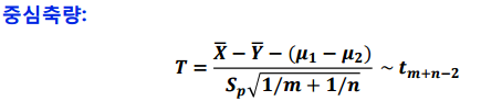
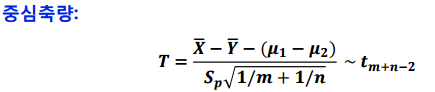
두 모집단의 비교에서는 합동표본분산을 이용해야 합니다.
합동표본분산은 다음과 같이 구할 수 있습니다.

여기서 m-1, n-1은 자유도 입니다.

중심축량은 t분포를 따릅니다.
중심축량을 구했으므로 신뢰구간을 구할 수 있습니다.

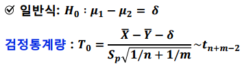
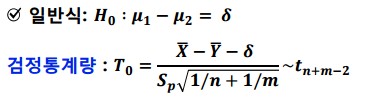
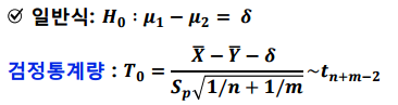
3. 모평균 비교의 가설검정
분산이 동일하고 정규분포로 가정한 두 모집단의 평균 비교의 가설검정을 해보겠습니다.
(1) 가설 설정

(2) 검정통계량 도출

(3) 유의수준을 설정하고 기각역 도출

4. 확인해야 할 가정
(1) 등분산성 확인

(2) 정규성 검정

5. 정리

반응형
'수학 > 기초 통계학' 카테고리의 다른 글
| [통계학] 30. 대응 표본을 통해 모집단의 평균을 비교하는 방법 (0) | 2020.10.01 |
|---|---|
| [통계학] 29. 두 모집단 평균 비교 - 독립표본, 분산이 다른 경우 (0) | 2020.10.01 |
| [통계학] 28. 독립표본과 대응표본 (2) | 2020.10.01 |
| [통계학] 27. 모비율 추론을 위한 표본크기 결정 (0) | 2020.09.29 |
| [통계학] 26. 모비율에 대한 통계적 추론 (0) | 2020.09.24 |