여인권 교수님의 KMOOC 강의 <통계학의 이해 2>를 수강하면서 공부한 내용을 정리해보았습니다.
요인이 하나이고 수준을 실험자가 결정하는 경우, 처리효과를 확인하기 위해 어떻게 모형을 설정하는지 알아보겠습니다.
고정효과 모형의 결과 해석과 어떤 모수에 대해 추론하는지 알아보겠습니다.
1. 일원배치 분산분석
일원배치 분산분석은 하나의 요인의 수준에 대한 평균을 비교하는 분석입니다.
실험 단위의 배치 또는 실험 순서에 있어 확률화의 원리에 충실해야 한다고 해서 완전 확률화 설계(completelt randomized design)라고도 합니다.
예제
4 종류의 사료(요인)에 의한 쥐 체중증가(반응변수) 실험에서 요인은 사료이고 수준은 사료 종류 수 4개 입니다.
쥐를 선정하고 할당하는 과정이 랜덤하게 이루어져야 합니다.
모든 수준에 대해 반복수가 같을 필요는 없으나 반복수가 같으면 통계적 분석에 있어 편리한 점이 많습니다.

2. 고정효과모형 - Fixed Effect Models
고정효과모형은 요인의 수준을 실험자가 결정하게 됩니다. (위 예제에서 사료 종류의 수)
또한 처리효과에 대한 결론은 고려된 요인의 수준에 대해서만 적용할 수 있습니다. (사료 종류 이외의 사료는 적용 안됌)
모형 가정은 다음과 같습니다.

모형식 입니다.

처리 효과가 없다면 모든 $\alpha_i$ = 0이 됩니다. 이것을 확인하는 것이 처리효과가 있는지 없는지 확인하는 것과 같습니다.
고정효과모형에서의 통계적 추론
처리효과가 있는지에 대한 가설검정을 진행합니다.
처리효과가 없으면 각 수준의 평균이 전체 평균과 같습니다.

처리효과가 있다면 어떤 수준끼리 차이가 있는지 확인합니다.

처리효과가 있다면, 처리효과의 추정을 합니다.
귀무가설은 가음과 같이 설정할 수 있습니다.

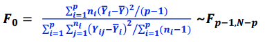
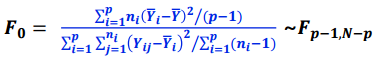
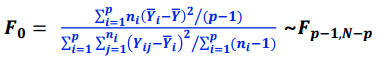
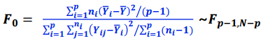
이전 포스팅에서 공부했던 분산분석의 검정통계량을 이용하면 검정통계량을 도출할 수 있습니다.

모수를 추정하고 모형식을 추정량으로 표시하겠습니다.

3. 예시문제
요인은 1개 수준이 4개인 자료를 보겠습니다.
값은 체중 증가량 입니다.

처리효과에 대한 가설검정을 하기 위해 귀무가설을 설정하겠습니다.

검정 통계량을 구하기 위한 주요 통계값을 계산하겠습니다.

이 값을 검정통계값에 대입하면 됩니다.

검정통계값은 유의수준 5%인 F분포보다 크므로 귀무가설이 reject되고 음식에 따라 평균 성장량 유의한 차이가 있음을 알 수 있습니다.
4. 정리

'수학 > 기초 통계학' 카테고리의 다른 글
| [통계학] 분산분석표, 고정효과모형과 변량효과모형에서 F통계량의 분모와 분자인 평균제곱의 통계적 성질 (0) | 2020.10.10 |
|---|---|
| [통계학] 분산분석 - 변량효과모형 - 요인이 하나, 수준을 무작위 (0) | 2020.10.08 |
| [통계학] 분산분석에서의 용어와 개념 - 실험계획법, 설명변수, 공변량, 요인, 반응변수, 처리, 수준 (0) | 2020.10.07 |
| [통계학] 세 모집단의 평균 비교 - 다중검정의 문제점과 분산분석의 개념 (0) | 2020.10.07 |
| [통계학] 두 모집단 비율 비교 - 가설검정방법, 대표본, 표본크기가 작은 경우 (0) | 2020.10.06 |