여인권 교수님의 KMOOC 강의 <통계학의 이해 2>를 수강하면서 공부한 내용을 정리해보았습니다.
요인이 하나이고 수준을 무작위로 선택한 경우, 처리효과를 확인하기 위해 어떻게 모형을 설정하는지 알아보겠습니다.
변량효과 모형의 결과 해석과 어떤 모수에 대해 추론하는지 알아보겠습니다.
변량효과모형 - Random Effect Models
변량효과모형은 분석에 적용할 수준 집합으로부터 무작위로 선택하는 것입니다.
분석 결론은 선택된 수준뿐만 아니라 수준 집합 내의 모든 수준으로 확대될 수 있습니다.
수준 모집단과 각 수준별 관측단위 모집단이 있습니다.

몇개의 고등학교가 수준의 모집단을 대표하고 무작위로 선택한 학생이 관측단위의 모집단을 대표할 수 있습니다.
(1) 수준들의 모집단
수준들의 모집단은 비교 대상인 수준들의 집합으로 나타낼 수 있습니다.

주의할 점은 i번째로 선택될 수준의 평균을 확률변수로 처리해야 한다는 것입니다.
(2) 관측개체에 대한 모형
관측개체에 대한 모형은 다음과 같이 가정할 수 있습니다.

(3) 모형의 특징
모형의 특징은 다음과 같습니다.

$\epsilon_{ij}$는 변동성을 의미하며 평균은 0이 됩니다.

분산은 독립이기 때문에 합으로 표현할 수 있습니다.

공분산은 각 그룹의 평균으로 나타낼 수 있습니다.

(4) 동일 처리 내에서의 관측값들 간의 상관관계

$\rho$가 크다는 것은 전체분산 중 수준 평균의 분산이 차지하는 비율이 높다는 것을 의미합니다.
또한 동일 수준 내의 두 관측값의 상관관계가 높다는 것을 의미합니다.
변량효과모형에서의 관심문제
변량효과모형에서의 관심문제는 수준에 따라 평균 반응이 다른가? 입니다.

귀무가설과 대립가설 설정

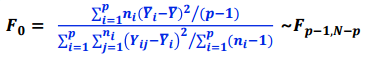
검정통계량

모수 추정

예시 문제
고등학교 학업성취도 자료에서 4개의 학교를 무작위로 선택 후 각 학교에서 6명을 무작위로 선택하겠습니다.

처리효과에 대한 가설검정은 다음과 같이 할 수 있습니다.

검정통계량을 구하기 위한 주요 통계값 구하기

검정통계값

이는 5% 유의수준에서 학교들 간 학업성취도에 유의한 차이가 없음을 의미합니다.
정리

'수학 > 기초 통계학' 카테고리의 다른 글
| [통계학] 분산분석 - 등분산성 검정 - 잔차그림, Hartley 검정, Bartlett 검정 (0) | 2020.10.10 |
|---|---|
| [통계학] 분산분석표, 고정효과모형과 변량효과모형에서 F통계량의 분모와 분자인 평균제곱의 통계적 성질 (0) | 2020.10.10 |
| [통계학] 일원배치 분산분석 - 고정효과모형 - 요인이 하나 수준은 임의적 (0) | 2020.10.08 |
| [통계학] 분산분석에서의 용어와 개념 - 실험계획법, 설명변수, 공변량, 요인, 반응변수, 처리, 수준 (0) | 2020.10.07 |
| [통계학] 세 모집단의 평균 비교 - 다중검정의 문제점과 분산분석의 개념 (0) | 2020.10.07 |