반응형
여인권 교수님의 KMOOC 강의 <통계학의 이해 2>를 수강하면서 공부한 내용을 정리해보았습니다.
회귀계수(기울기)에 대한 통계적 추론
회귀계수 중 기울기에 해당하는 $\beta_1$의 중심축량, 구간추정, 가설검정에 대해 알아보겠습니다.
1. 기울기 $\beta_1$에 대한 추론
$\hat{\beta_1}$은 $\beta_1$의 추정값입니다.
$\hat{\beta_1} = S_{xY}/S_{xx}$의 통계적 성질은 다음과 같습니다.

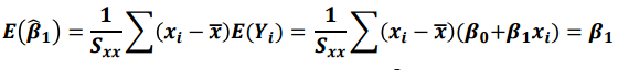
$\hat{\beta_1}$의 기댓값은 다음과 같이 구할 수 있습니다.

$\hat{\beta_1}$의 분산은 다음과 같습니다.

$\hat{\beta_1}$의 기댓값과 분산을 구했으므로 $\hat{\beta_1}$는 다음과 같이 가정할 수 있습니다.

이를 표준화하면 중심축량을 구할 수 있습니다.

중심축량은 자유도가 n-2인 t분포를 따릅니다.
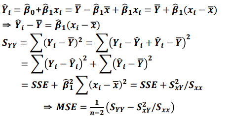
2. MSE 계산
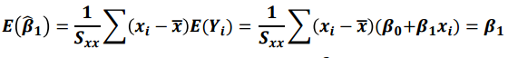
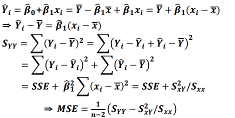
이전 포스팅에서 알아보았던 회귀모델에서의 MSE 계산은 다음과 같이 할 수 있습니다.

3. 구간추정
중심축량과 MSE를 구했으므로 구간추정을 할 수 있습니다.

4. 가설검정
귀무가설은 회귀계수 $\beta_1$ = 0 인지 아닌지로 확인할 수 있습니다.
(1) 가설 설정

(2) 검정통계량 도출

(3) 기각역 설정

5. 예제 문제

올림픽 육상 100m 남자 우승기록에서 기울기를 추론해보겠습니다.
MSE를 구하기 위한 통계값은 다음과 같이 구할 수 있습니다.

위 통계값을 MSE구하는 식에 대입하면 다음과 같게 됩니다.

MSE를 구했으므로 신뢰구간을 구할 수 있습니다.

검정통계량은 다음과 같습니다.

6. 정리

반응형
'수학 > 기초 통계학' 카테고리의 다른 글
| [통계학] 회귀분석 - 예측값 평균에 대한 통계적 추론 - 중심축량, 신뢰구간 (0) | 2020.10.19 |
|---|---|
| [통계학] 회귀분석 - 회귀계수(절편)에 대한 통계적 추론 - 절편의 중심축량과 구간추정 (0) | 2020.10.19 |
| [통계학] 회귀추론을 위한 기본이론 - 회귀모델에서의 MSE와 중심축량 (1) | 2020.10.18 |
| [통계학] 단순선형회귀모형에서의 모수 추정 - 기울기와 절편, 최소제곱법, 최소절대편차법 (1) | 2020.10.17 |
| [통계학] 회귀분석 - 회귀모형 개념 - 선형회귀모형 (0) | 2020.10.17 |