여인권 교수님의 KMOOC 강의 <통계학의 이해 2>를 수강하면서 공부한 내용을 정리해보았습니다.
절편 $\beta_0$ 에 대한 통계적 추론
회귀계수 중 절편에 해당하는 $\beta_0$의 중심축량과 구간추정에 대해 알아보겠습니다.
1. $\hat{\beta_0} = \overline{Y} - \hat{\beta_1}\overline{x}$의 역할
x가 0일 때 E(Y)의 값이 $\beta_0$ 입니다.
최소제곱법 추정으로 $\beta_0$ 추정과정을 알아보겠습니다.

D를 $b_0$으로 미분함으로써 최소로하는 $b_1$과 $b_0$을 찾습니다.
추정한 $b_1, b_0$를 $\hat{b_1}, $\hat{b_0}$으로 표현합니다.
$\beta_0$가 없는 모형에서의 잔차 합은 0이 되지 않을 수 있습니다.
$b_0$이 0이므로 미분할 필요가 없기 때문입니다.
따라서 절편을 추론할 때는 $x_i e_i$ = 0 이라는 제약조건 밖에 없습니다.
E(e) = 0을 만족하지 않습니다.
$b_0$의 포함여부($b_0$ = 0)에 대한 추론을 일반적으로 하지 않습니다.
가설검정은 안하고 구간추정만 합니다.
절편에 대한 통계적 추론은 설명변수($x_i$)가 0인 상황인 주요한 경우에 해석합니다.
2. $\hat{\beta_0} = \overline{Y} - \hat{\beta_1}\overline{x}$의 통계적 성질
$\hat{b_0}$를 Y들의 선형결합으로 표현할 수 있습니다.
또한 Y가 정규분포를 따르므로 $\hat{b_0}$도 선형결합을 따릅니다.

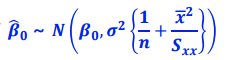
추정한 절편의 기댓값

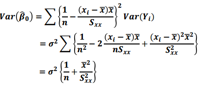
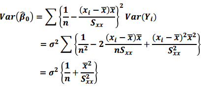
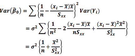
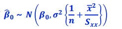
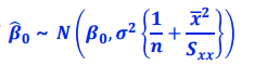
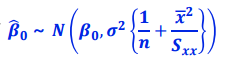
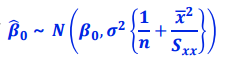
추정한 절편의 분산

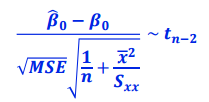
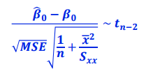
기댓값과 분산을 구했으므로 정규분포로 표현할 수 있습니다.

이를 정규화하면 중심축량을 구할 수 있습니다.

추정된 절편의 100(1-a)% 신뢰구간을 구할 때 다음과 같이 구할 수 있습니다.

3. 예제 문제

위 자료에서 남자의 자료를 이용하여 단순회귀모델을 설계하고 절편을 추정해보도록 하겠습니다.
우선, $\hat{\beta_0}$을 구하기 위한 통계값을 구해야 합니다.


이를 통해 SE 추정값을 구하면 다음과 같습니다.

필요한 통계값을 다 구했으므로 95% 신뢰구간을 구할 수 있습니다.

4. 정리
회귀계수 중 절편에 해당하는 $\beta_0$의 중심축량과 구간추정에 대해 알아보았습니다.


'수학 > 기초 통계학' 카테고리의 다른 글
| [통계학] 회귀분석 - 새로운 관측값에 대한 예측 - 중심축량과 예측구간 (0) | 2020.10.19 |
|---|---|
| [통계학] 회귀분석 - 예측값 평균에 대한 통계적 추론 - 중심축량, 신뢰구간 (0) | 2020.10.19 |
| [통계학] 회귀분석 - 회귀계수(기울기)에 대한 통계적 추론 - MSE, 구간추정, 가설검정, 검정통계량 (1) | 2020.10.18 |
| [통계학] 회귀추론을 위한 기본이론 - 회귀모델에서의 MSE와 중심축량 (1) | 2020.10.18 |
| [통계학] 단순선형회귀모형에서의 모수 추정 - 기울기와 절편, 최소제곱법, 최소절대편차법 (1) | 2020.10.17 |