이번 포스팅에서 공부할 것은 다음과 같습니다.
행렬 방정식(matrix equation)
Ax=b
이론 3: linear system은 3가지 관점으로 볼 수 있으며 모두 동일한 해를 갖고 있습니다.
이론 4: A의 필요충분 조건
행렬 방정식을 빠르게 계산하는 내적
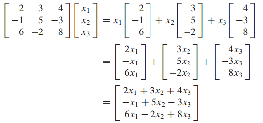
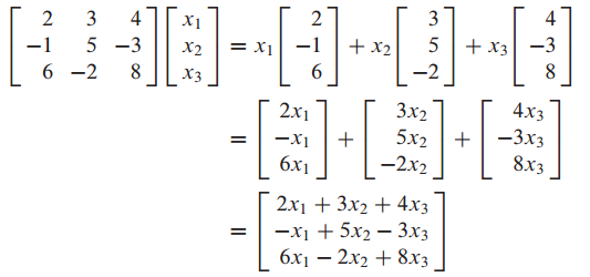
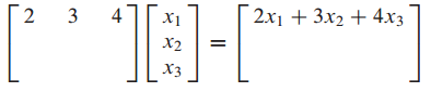
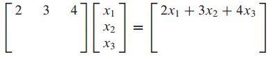
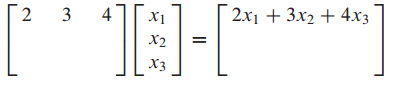
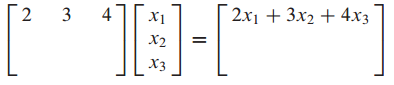
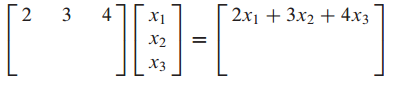
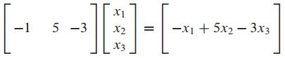
1. Ax : A 곱하기 X의 의미 - product of A and X
A는 columns($a_1, ... , a_n)로 이루어진 mxn 행렬입니다.
x는 $R^n$ 공간에 있습니다.
Ax를 표현하면 다음과 같습니다.

이것은 x를 weights로 사용한 A의 columns의 linear combination입니다.
즉, x는 scalar의 vector입니다.
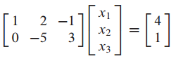
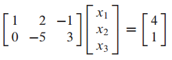
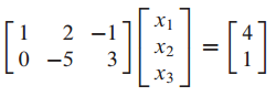
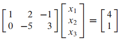
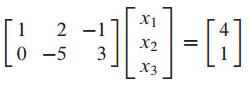
2. 행렬 방정식(Matrix equation) 풀기
행렬 방정식을 풀어보겠습니다.

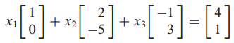
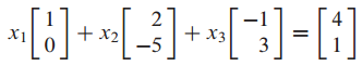
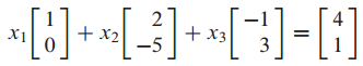
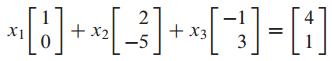
3. 벡터 방정식을 행렬 방정식으로 표현 - Vector equation to matrix equation
벡터 방정식을 행렬 방정식으로 표현할 수 있습니다.


이처럼 linear combination을 matrix equation으로 표현할 수 있습니다.
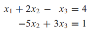
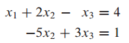
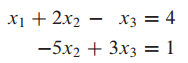
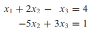
4. 선형 시스템을 행렬 방정식으로 표현 - system of linear equations to matrix equation
linear system

vector equation

matrix equation

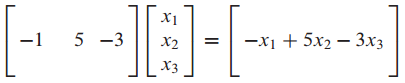
5. 행렬 방정식을 계산하는 효과적인 방법 - more efficient way to compute matrix equation

기존 방법은 행렬 방정식을 벡터 방정식으로 변환해서 푸는 것입니다.

내적을 이용하면 빠르게 풀 수 있습니다.


6. 이론3. linear system의 3가지 표현 방법

linear system을 3가지로 표현할 수 있으며 이 3가지는 모두 동일한 해를 갖습니다.
(1) 행렬 방정식(matrix equation)

(2) 벡터 방정식(vector equation), 선형 결합(linear combination)

(3) 첨가 행렬(augmented matrix)

7. 이론4. A의 필요충분조건

4가지 조건 중 하나라도 참이면 모두 참, 하나라도 거짓이면 모두 거짓입니다.
a. For each b in $R^m$, the equation Ax=b has a solution
$R^m$ 공간에 있는 임의의 b에 대해서 Ax=b(matrix equation)은 solution을 갖고 있다.
b. Each b in $R^m$ is a linear combination of the columns of A
$R^m$ 공간에서 b는 A의 columns의 선형 결합입니다.
c. The columns of A span $R^m$
A의 열들은 $R^m$공간에서 span합니다. -> linear combination을 의미
d. A has a pivot position in every row
A는 모든 행에 pivot position을 갖고 있습니다.
A는 coefficient matrix를 의미합니다.
A의 행에 pivot position이 없다면 b가 pivot position이 됩니다.
이는 no solution을 의미합니다.
8. 이론5

A는 계수 행렬(coefficient matrix)
u, v는 벡터
c는 스칼라 입니다.
David C.Lay 의 Linear algebra and its applications를 공부하면서 정리해보았습니다. 감사합니다.
