(통계학-기본개념과 원리, 여인권)을 바탕으로 제작하였습니다.
(k-mooc 통계학의 이해1, 여인권)을 수강하면서 공부한 내용을 정리해보았습니다.
2. 확률의 이해
2.1 고전적 확률
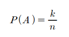
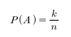
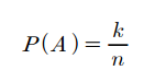
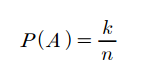
고전적 확률(등확률)은 표본공간의 각 원소(근원사건)의 발생가능성이 동일(equally likely)한 확률을 의미합니다.

여기서 n은 표본공간의 원소개수, k는 사건 A의 원소개수를 의미합니다.
예를 들어, 정사면체 주사위 한 개를 던질 때 표본공간은 {1, 2, 3, 4, 5, 6}이 되며 원소 개수는 6이 됩니다. 각각의 사건이 발생할 확률은 1/6로 동일합니다.
연속표본공간(continous sample space)
구매한 스마트폰의 수명 측정한다고 가정했을 때 스마트폰의 수명(x)은 $0 \leq x$가 됩니다. 이와 같이 표본공간이 셀 수 없을 정도로 많은 원소로 이루어져 있는 것을 연속표본공간이라고 합니다.
이를 원소의 수의 비율로 표시하면 확률이 $\frac\infty\infty$이 됩니다. 따라서 연속표본공간에서는 발생가능성이 동일한 상황을 선이나 평면을 이용하여 설명합니다. 표본공간 S를 선이나 평면으로 표시하고 사건 A를 이 선이나 평면의 일부분으로 표시합니다. 사건 A가 발생한다는 것은, 영역 S내에서 임의의 한 점을 무작위로 택할 때 이 점이 영역 A에 있다는 것을 의미하며 이에 대한 확률은 다음과 같이 전체 영역에서 A가 차지하는 비율로 쓸 수 있습니다. 이때 사건 A의 확률 P(A)를 다음과 같이 쓸 수 있습니다.

이상으로 고전적확률과 연속표본공간에 대해서 알아보았습니다. 감사합니다.
'수학 > 기초 통계학' 카테고리의 다른 글
| [통계학] 04-4. 확률(4) - 통계적 확률 (상대도수의 극한개념, 통계적확률, 몬테카를로 적분) (0) | 2020.09.15 |
|---|---|
| [통계학] 04-3. 확률(3) - 경우의 수 (조합, 중복조합, 순열, 중복순열) (0) | 2020.09.15 |
| [통계학] 04-1. 확률 (1) - 기본개념 (확률, 확률실험, 표본공간, 사건, 집합의 연산법칙, 벤다이어그램) (0) | 2020.09.15 |
| [통계학] 03-3. 다변량 자료 기술통계 (3) - 공분산, 상관계수 (0) | 2020.09.14 |
| [통계학] 03-2. 다변량 자료 기술통계 (2) - 비교그림, 산점도, 산점도 행렬, 시계열 그림 (0) | 2020.09.14 |