
Mathematics for Machine Learning를 공부하고 정리한 포스팅입니다.
2.3 연립 방정식의 해(Solving Systems of Linear Equations)
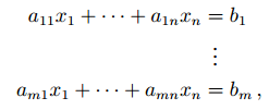
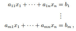
다음과 같은 연립 방정식이 있습니다.

$a_{ij}$는 실수, $b_i$는 상수, $x_j$는 미지수 입니다. 위 연립 방정식은 Ax=b로 간단히 표현할 수 있습니다. 이제 행렬 곱셈, 덧셈 과 같은 행렬 연산을 정의하고 위와 같은 연립 방정식을 푸는 방법과 역행렬을 찾는 방법을 알아보겠습니다.
2.3.1 특수해와 일반해(Particular and General Solution)
아래와 같은 연립 방정식을 어떻게 푸는지 알아보겠습니다.

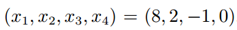
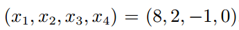
2개의 방정식과 4개의 미지수로 이루어진 연립 방정식입니다. 방정식의 개수보다 미지수의 개수가 많아 무수히 많은 해(infinitely many solution)를 예상할 수 있습니다. $\sum_{i=1}^{4} x_i c_i = b$를 만족하는 $x_1, ... ,x_4$를 찾아야 합니다. $c_i$는 행렬의 i번째 열입니다.
행렬의 첫번째 열에 42를 곱하고 두 번째 열이 8을 곱하면 문제를 바로 풀 수 있습니다.

해는 $[42, 8, 0, 0]^T$가 됩니다. 그리고 이 해를 특수해(particular solution)이라고 합니다.
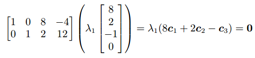
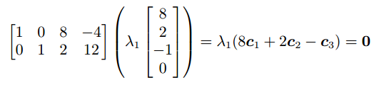
위 연립 방정식은 해가 하나만 있지 않습니다. 다른 모든 해를 구하기 위해 Ax=0 을 만족하는 x를 찾겠습니다. 아래와 같이 첫 번째, 두 번째 열을 사용하여 세 번째 열을 만들어 줄 수 있습니다.

첫 번째 열에 8을 곱하고 두 번째 열에 2를 곱하면 세 번째 열이 됩니다. 그러면 다음과 같이 계산하면 0을 만족합니다.

$c_1. ... c_4$는 각 열을 의미합니다. 그리고 Ax=0는을 만족하는 x는 다음과 같습니다.

이 x에 스칼라$\lambda$를 곱해도 Ax=0을 만족합니다.

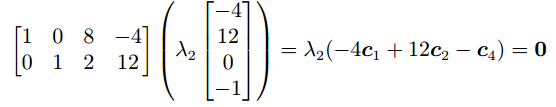
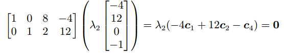
위와 같은 방법으로 4번째 열을 첫 번째 열과 두 번째 열을 사용하여 표현할 수 있습니다. 그리고 Ax=0을 만족하는 x를 찾을 수 있습니다.

Ax=0을 만족하는 두 x 집합을 구했습니다.
두 x 집합과 특수해를 활용하여 Ax=b를 만족하는 x를 구할 수 있습니다.

이를 일반해(general solution)이라고 합니다.
정리
위 과정을 정리하면 3단계로 구성할 수 있습니다.
step 1. Ax=b의 특수해 찾기
step 2. Ax=0의 모든 해 찾기
step 3. step 1과 2의 해를 결합하여 일반해 만들기
위 예제는 행렬이 풀기 쉽게 주어져서 손쉽게 일반해를 구할 수 있었습니다. 하지만 일반적으로 일반해를 구하는 것은 쉽지 않습니다. 다음에 배울 것은 일반해를 구하기 위해 행렬을 간단한 형태로 바꿔주는 가우시안 소거법(Gaussian eliminateion)과 연립방정식의 기초적인 변환을 배우겠습니다.
'수학 > 기타 정리' 카테고리의 다른 글
| [MML] ch 2.3 연립 방정식의 해(Solving Systems of Linear Equation) -2 (0) | 2021.03.17 |
|---|---|
| [통계학] 최대 우도 추정법(Maximum Likelihood) (0) | 2021.03.13 |
| [MML] ch 2.2 행렬(Matrices) (0) | 2021.03.12 |
| [MML] 2.1 Systems of Linear Equations(연립 방정식) (0) | 2021.03.09 |
| [MML] ch 2. 선형 대수학(Linear Algebra) (0) | 2021.03.06 |