제약조건(constraint) 또는 추가조건(side condition)이 주어진 상황에서 함수의 최대값이나 최소값을 구해야하는 경우가 있습니다. 예를 들어 $x^2 + y^2 = 1$ 조건에서 함수 f(x,y)의 최대값을 찾는 경우입니다. 이 경우에 (x,y)는 g(x,y) = 1 의 등위선(level curve) 입니다. 이번 포스팅에서 이런 종류의 문제를 다루는 방법에 대해 공부하겠습니다.

라그랑주 승수법(Lagrange Multipliers)
S는 x가 g(x) = c를 만족하는 R^n의 집합이라고 하겠습니다. f의 정의역을 S로 제한할 때도 f의 극소값, 극대값은 유효하여 최대, 최소값은 극값이 됩니다. 다음 정리는 제약조건에서 극값을 구하는 데 필요조건을 제공합니다.

flS는 함수 f의 정의역이 S로 제한된 함수를 의미합니다. 만약 flS가 x0에서 극소점, 극대점을 가지면 실수 $\lambda$가 존재하며 $\triangledown f(x_0) = \lambda \triangledown g(x_0)$을 성립합니다. x0은 fls의 임계점입니다.
증명
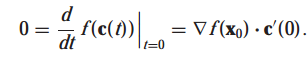
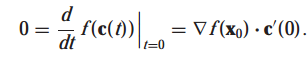
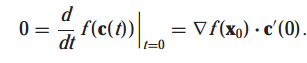
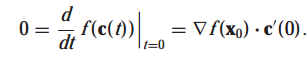
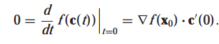
점 x0에서 S의 접공간 또는 접평면은 $\triangledown g(x_0)$에 수직인 공간입니다. 경로 c(t)의 tangent(속도 벡터)가 S안에 놓여져 있는 것을 고려하여 위 정의를 도출할 수 있습니다. 만약 c(t)가 S에서 경로이고 c(0) = $x_0$이면, c'(0)은 $x_0$에서 S에 tangent vector 입니다.


c'(0)은 $\triangledown g(x_0)$에 수직입니다. 만약 fls가 $x_0$에서 최대값을 가지면 f(c(t))는 t=0에서 최대값을 갖습니다. 따라서 chain rule에 의해 다음의 식을 얻습니다.

$\triangledown f(x_0)$은 S내에서 모든 곡선의 접평면과 수직이고 x0에서 S에 전체 접 공간에 직교합니다. $\triangledown f(x_0)$ 와 $\triangledown g(x_0)은 평행합니다.
기하학적 성질을 알아보겠습니다.


곡면 S로 제한된 함수 f가 $x_0$에서 최대값 또는 최소값은 갖으면 $\triangledown f(x_0)$은 $x_0$에서 곡면 S에 수직입니다.
이러한 결과는 f의 제한된 극점을 찾기 위해서 위 두 정리를 만족하는 점 $x_0$을 찾아야 합니다.
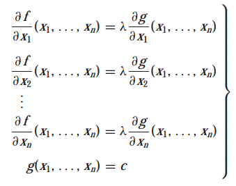
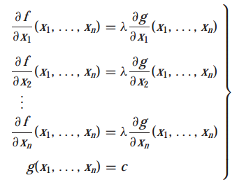
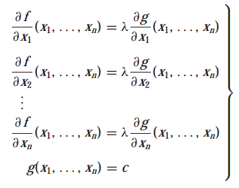
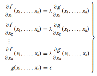
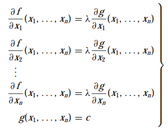
정리 8의 방법을 사용할 때, $\triangledown f(x_0) = \lambda \triangledown g(x_0)$ 을 만족하는 점 $x_0$와 라그랑주 승수(Lagrange multiplier) $\lambda$를 찾아야 합니다.

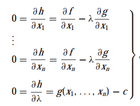
위 식은 f의 편도 함수가 g의 편도 함수와 비례한다는 것을 나타냅니다. $x_0$은 곡면 S로 제한된 f의 임계점 입니다. $x_0$을 찾는 것은 아래의 연립방정식의 해를 구하는 것입니다.

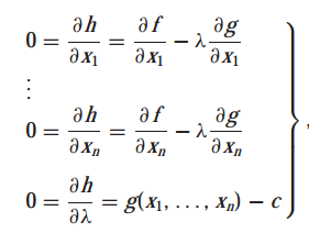
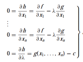
이 방정식을 보는 또 다른 방법은 다음과 같습니다. $\lambda$를 추가적인 변수로 여기고 보조 함수를 형성하는 것입니다.

라그랑주 승수법은 fls의 극값을 찾기 위하여 h의 임계점을 찾아야 합니다. 이는 다음의 연립방정식을 푸는것과 같습니다.

예제 문제를 풀어보겠습니다.

참고자료 및 그림 출처
Jerrold E. Marsden의 Vector Calculus
'수학 > 벡터 미적분학' 카테고리의 다른 글
| [벡터 미적분학] 이계도함수 판정법(Second-Derivative Test) (6) | 2021.07.19 |
|---|---|
| [벡터 미적분학] 해시안(Hessian) (1) | 2021.07.10 |
| [벡터 미적분학] 극점의 일계도함수 판정법(First-Derivative Test for Local Extrema) (0) | 2021.07.09 |
| [벡터 미적분학] 극대점(local maximum), 극소점(local minimum), 임계점(critical point), 안장점(saddle point) (0) | 2021.07.09 |
| [벡터 미적분학] 다변수함수에 대한 테일러 정리(Taylor's Theorem for Many Variables) (0) | 2021.07.09 |