반응형
이전 포스팅에서는 일변수함수에 대한 테일러 정리를 살펴보았습니다. 이번에는 다변수함수에 대한 테일러 정리를 공부하겠습니다.
다변수함수에 대한 테일러 정리(Taylor's Theorem for Many Variables)
만약 n개의 변수를 취하는 실함수(real valued function with n variables) f가 x0에서 정의된다면 다음과 같이 정의할 수 있습니다.

그리고나서, 미분가능성의 정의에의해 나머지항 R1(x0,h)는 점 x0에서 1차에서 사라집니다.

그러므로 일차 테일러 공식(First-Order Taylor Formula)는 다음을 얻습니다.

xi는 n개의 다변수에 해당하는 변수입니다. 각 개별적인 다변수에대해 hi가 존재합니다.
이차 테일러 공식은 다음과 같습니다.

이차 테일러 공식을 행렬 형태로 다음과 같이 작성할 수 있습니다.

나머지항 R2(x0,h)는 h보다 작은 값이며 h가 0에 가까워 질수록 나머지항은 매우 작은 값이 됩니다.
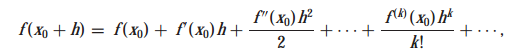
함수 f(x)를 무한 멱급수로 확장할 수 있고 이를 테일러 시리즈(Taylor series)라고 부릅니다.

일차, 이차, 삼차 테일러 다항식은 함수의 일차, 이차, 삼차 근사식이라고도 합니다. 테일러 다항식의 차수가 증가할수록 나머지는 점점 더 작아질 것으로 추정되기 때문입니다.
예시 문제를 풀어보겠습니다.


참고자료 및 그림 출처
Jerrold E. Marsden의 Vector Calculus
반응형