반응형
반복 편도 함수(Iterated partial derivatives)
편미분이 존재하고, 이 편미분이 연속적인 경우에 이 함수를 class C1이라고 합니다. 만약 이 각각의 편도 함수가 다시 연속적인 편도 함수를 갖고 있다면 class C2라고 합니다. 계속 확장하여 함수는 class C3, class C4 라고 불릴 수 있습니다. 만약, 함수 f가 연속적인 3차 반복 편도 함수를 갖고 있다면 이는 class C3 입니다.
여기서 이계편도함수의 몇 가지 예제를 살펴보겠습니다.

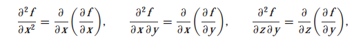
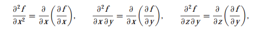
삼계도함수나 고계도함수도 같은 방법으로 나타낼 수 있습니다. f가 두 변수 x와 y의 함수이고, 편미분이 연속적으로 미분가능하면 이 함수의 편도함수는 다음과 같은 네 개의 함수를 얻습니다.

이 네개를 반복 편도함수(iterated partial derevative)라고 합니다.

특히, 위 두개는 혼합 편도함수(mixed partial derivative)라고 합니다.
예제 문제를 풀어보겠습니다.

편미분 교환법칙(Equality off Mixed Partials)

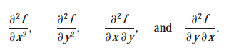
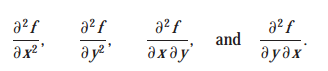
만약, 함수 f(x,y)가 class C2이면 혼합 편도 함수들이 같습니다. 이는 n변수 함수로 쉽게 확장할 수 있습니다.
참고자료 및 그림 출처
Jerrold E. Marsden의 Vector Calculus
반응형
'수학 > 벡터 미적분학' 카테고리의 다른 글
| [벡터 미적분학] 다변수함수에 대한 테일러 정리(Taylor's Theorem for Many Variables) (0) | 2021.07.09 |
|---|---|
| [벡터 미적분학] 일변수함수에 대한 테일러 정리(Single-Variable Taylor Theorem) (0) | 2021.07.07 |
| [벡터 미적분학] 레벨 집합에서 그래디언트와 접평면(Gradients and Tangent Planes to Level Sets) (0) | 2021.06.29 |
| [벡터 미적분학] 방향 도함수(Directional Derivatives) (0) | 2021.06.29 |
| [벡터 미적분학] 연쇄 법칙(Chain rule) (0) | 2021.06.16 |