연쇄 법칙(Chain Rule)
합성 함수(composite function)에 대한 미분 법칙을 연쇄 법칙이라고 부릅니다. 다변수 함수에 대한 규칙은 일변수 함수보다 더 심오한 형태를 취합니다. f가 실함수(real-valued function)이고, z=f(y)이며 y는 x의 함수이고 y=g(x)라고 하겠습니다. 그러면 z는 대입에 의해 x의 합수가 됩니다. 즉, z=f(g(x))이며, 다음과 같은 연쇄 법칙을 갖습니다.

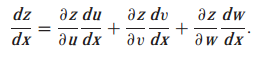
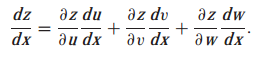
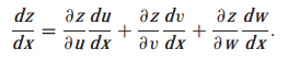
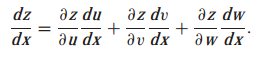
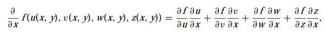
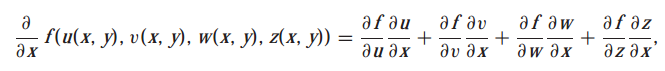
만약 f가 3개의 변수(u,v,w)에 대한 실함수이고, z=f(u,v,w) 이며, u,v,w는 x에 대한 함수 u=g(x), v=h(x), w=k(x)인 경우에 z=f(u,v,w)에서 g(x), h(x), k(x)를 대입하면 z=f(g(x),h(x),k(x))가 됩니다. 이 함수에 대한 연쇄법칙은 다음과 같습니다.

연쇄 법칙은 일변수 미분처럼 행동합니다. 즉, 아래의 조건을 만족합니다.

(iv) 몫의 법칙(quotient rule)에 대한 예제 문제를 풀어보겠습니다.

연쇄 법칙의 정의
다변수 함수에 대한 연쇄 법칙은 일변수 함수에 비해 복잡해 보입니다. 하지만 미분에 대한 행렬 표기법인 D를 사용하면, 다변수 함수에 대한 연쇄 법칙은 일변수 함수에 대한 연쇄 법칙과 비슷해 보입니다.

연쇄 법칙의 두 가지 예시를 살펴보겠습니다.
(1) 연쇄 법칙의 첫 번째 특별한 경우

(2) 두 번째 특별한 경우

(3) 세 번째 예제

연쇄 법칙의 기하학적 이해
연쇄 법칙은 f: R^2 -> R^2인 사상(mapping)의 기하학적 구조와 R^2에서 곡선의 기하학적 구조 사이의 관계를 이해하는데 도움을 줍니다. c(t)가 평면에서 어떤 경로이면, c'(t)는 경로 c(t)의 접벡터(tangent vector)이고, 이 접벡터는 c(t)로부터 시작하는 벡터입니다. 이제, p(t) = f(c(t))라고 하겠습니다. 경로 p는 사상 f하에서 경로 c(t)의 상으로 표현됩니다. p의 접벡터는 연쇄법칙을 사용하여 다음과 같이 나타낼 수 있습니다.

즉, 함수 f의 도함수 행렬은 경로 c의 접벡터를 대응되는 경로 p의 접벡터로 보냅니다.

함수 f는 점을 점으로 보내고, f의 도함수는 곡선의 접벡터를 곡선의 접벡터로 보냅니다.
참고자료
[1] Jerrold E. Marsden의 Vector Calculus
'수학 > 벡터 미적분학' 카테고리의 다른 글
| [벡터 미적분학] 레벨 집합에서 그래디언트와 접평면(Gradients and Tangent Planes to Level Sets) (0) | 2021.06.29 |
|---|---|
| [벡터 미적분학] 방향 도함수(Directional Derivatives) (0) | 2021.06.29 |
| [벡터 미적분학] 미분 가능성(Differentiable), 그래디언트(Gradient), C1 함수(C1-Function) (0) | 2021.06.04 |
| [백터 미적분학] 선형근사(Linear approximation), 접평면(Tangent Plane), 이변수함수의 미분가능성 (0) | 2021.06.03 |
| [벡터 미적분학] 편도 함수(Partial Derivatives) (0) | 2021.06.03 |