반응형
편도 함수(Partial Derivatives)

편미분은 다른 변수들은 고정되어 있고, 하나의 변수 x_j에 대해 함수 f를 미분하는 것입니다. 몇 가지 예제를 살펴보겠습니다.
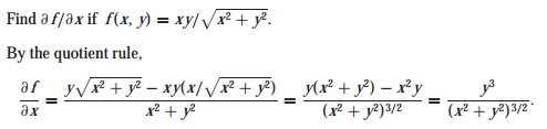
예제 1

예제 2

참고자료 및 그림출처
Jerrold E. Marsden의 Vector Calculus
반응형
'수학 > 벡터 미적분학' 카테고리의 다른 글
| [벡터 미적분학] 미분 가능성(Differentiable), 그래디언트(Gradient), C1 함수(C1-Function) (0) | 2021.06.04 |
|---|---|
| [백터 미적분학] 선형근사(Linear approximation), 접평면(Tangent Plane), 이변수함수의 미분가능성 (0) | 2021.06.03 |
| [벡터 미적분학] 극한(Limits)과 극한의 성질(Properties of Limits) (0) | 2021.06.02 |
| [벡터 미적분학] 경계점(Boundary Points) (0) | 2021.06.01 |
| [벡터 미적분학] 평면의 방정식(Equations of Planes) (0) | 2021.05.31 |