극한(Limits)
극한의 개념을 살펴보기 전에, 함수 f의 정의역(domain)은 열린 집합(Open Set) A라고 가정하겠습니다. A에 속하는 x가 A의 점 또는 A의 경계점에 접근할 때, 함수 f의 극한을 찾는 법을 살펴보겠습니다.

집합 A가 열린 집합이고, 함수 f가 다변수 함수에 대한 벡터 함수이라고 하겠습니다. 점 x0이 A에 존재하거나 A의 경계점이고, b의 근방이 N이라고 하겠습니다. 만약 x가 A와 x0의 근방에 존재하며, 이를 만족하는 x0의 근방이 존재한다면, x가 x0으로 접근할 때 함수 f는 궁극적으로 N에 속합니다. x0은 A에 속할 필요가 없습니다. 즉, 임의로 주어진 b의 근방 N에서 x가 x0으로 접근할 때, f는 결국 N안에 존재합니다. 이는 x가 x0에 가까워지면서, f(x)는 b에 가까워집니다. 만약 x가 x0에 가까워지는 경우에 f(x)가 어느 벡터에도 가까워지지 않는다면, f(x)의 극한은 존재하지 않습니다.

x != x0이어야 하는 이유는, 일변수함수의 미분에서 미분의 정의를 살펴보면 알 수 있습니다. x = x0인 경우에 미분이 정의되지 않습니다.

다음의 예제는 극한이 존재하지 않는 경우입니다.


x1이 0에 가까워지는 경우에 f(x1)=1이 되고, x2이 0에 가까워지는 경우에 f(x2)=-1이 됩니다. x가 0으로 가까워질 때, f가 가까워지는 숫자가 유일하지 않습니다. 만약 f의 정의역을 (0,1) 또는 (-1,0)으로 제한한다면 극한은 존재합니다.
다음 예제는 극한이 존재하는 경우입니다.


x가 0으로 가까워질때, 함수 f(x)의 극한은 0입니다. 또한, 극한값에서의 f(x)의 값은 1이 됩니다.
극한의 성질(Properties of Limits)

극한의 유일성(Uniqueness of Limits)은 x가 x0으로 접근할 떄, 함수 f의 극한은 많아야 하나를 갖습니다.
극한을 편리하게 계산하기 위해서 극한에 대한 몇가지 규칙이 필요합니다. 예를 들어 극한의 합은 합의 극한입니다.

(1) 스칼라 곱이 성립합니다.
(2) 덧셈이 성립합니다.
(3) 두 함수의 곱의 극한은 두 함수의 극한의 곱입니다.
(4) 나눗셈도 허용됩니다.
(5) m개의 함수 f 에 대하여 f의 극한이 m개의 값을 갖아야 b 벡터를 형성합니다..
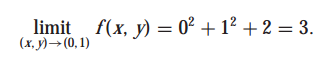
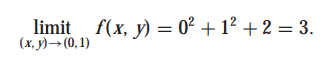
예제 문제를 하나 살펴보겠습니다.

f는 2개의 변수를 갖는 실함수(real-valued function with two variables) 입니다. f는 3개의 함수의 합으로 이루어져 있습니다.

여기에 극한을 취하면 다음과 같이 계산할 수 있습니다.

참고자료 및 그림출처
Jerrold E. Marsden의 Vector Calculus
'수학 > 벡터 미적분학' 카테고리의 다른 글
| [백터 미적분학] 선형근사(Linear approximation), 접평면(Tangent Plane), 이변수함수의 미분가능성 (0) | 2021.06.03 |
|---|---|
| [벡터 미적분학] 편도 함수(Partial Derivatives) (0) | 2021.06.03 |
| [벡터 미적분학] 경계점(Boundary Points) (0) | 2021.06.01 |
| [벡터 미적분학] 평면의 방정식(Equations of Planes) (0) | 2021.05.31 |
| [벡터 미적분학] 열린 집합(Open Sets), 열린 원판(Open Disk), x의 근방(Neighborhood of x) (0) | 2021.05.31 |