이전에 도함수를 공부할 때, 함수의 선형 근사(linear approximation)은 접평면의 방정식과 함수의 근사치를 찾는데 사용되었습니다. 여기서 공부할 테일러 정리(Taylor's theorem)은 이차근사(quadratic approximation)이나 고차근사(higher-order approximation)을 찾는 데 중요하게 다뤄집니다.
테일러 정리는 함수의 정확한 수치적 근삿값을 찾는데에 핵심적인 도구입니다. 이 테일러 정리를 다변수 함수의 최대, 최소에 대한 이계도함수 판정법(second derivative test)를 이해하는데 사용합니다.
다변수 함수에 대한 테일러 정리를 알아보기전에 일변수함수에 대한 테일러 정리를 살펴보겠습니다.
일변수함수에 대한 테일러 정리(Single-Variable Taylor Theorem)
이미 배운 정리를 떠올릴 때, 다음과 같은 질문을 하는것이 도움이 됩니다. 정리의 핵심 개념이 무엇인가? 정리의 요점이 무엇인가? 두 번 들여다보면 결과에대해 처음보다 더 잘 이해할 수 있는가?
일변수함수에 대한 테일러 정리의 요점은 주어진 점 근처에서 선형 근사보다 더 정확한 고차근사를 찾는 것입니다. 증명을 위한 핵심 개념은 미적분의 기본 정리(부분 적분, integration by parts)를 사용합니다. 이 기본 개념을 떠올려 증명을 할것입니다.
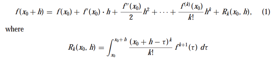
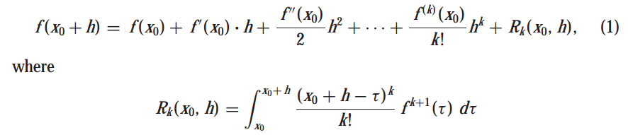
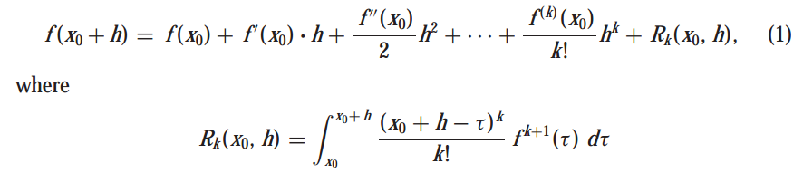
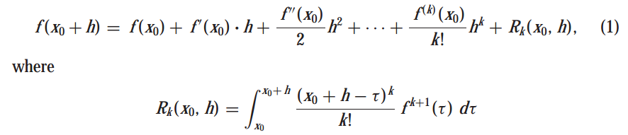
일변수함수에 대한 테일러정리는 다음과 같습니다.

작은 h에 대해 나머지 항은 매우 작습니다.

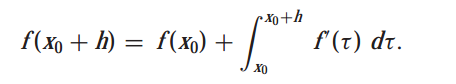
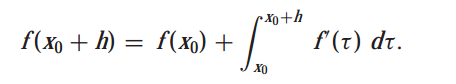
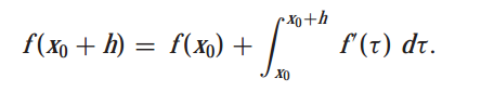
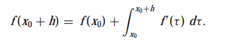
테일러 정리 증명은 미적분학의 기본 정리에서 시작합니다. 아래 식에서 적분식을 풀어쓰면 f(x0 + h)가 됩니다.

이를 부분 적분을 적용하면 일차 테일러 식(fitst-order Taylor formula)을 얻습니다.

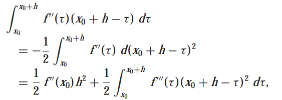
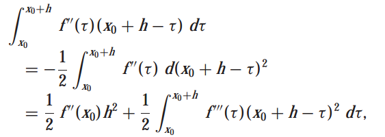
다시 부분적분을 적용하고 식에 대입하면 이차 테일러 공식(second-order Taylor formular)가 됩니다.


저는 테일러 정리 증명에서 부분적분이 이해가 안되어서 아래 유튜브를 참고해 공부했습니다 ㅎㅎ
https://www.youtube.com/watch?v=O4T5STR8NPs
참고자료 및 그림 출처
Jerrold E. Marsden의 Vector Calculus