이번 포스팅에서 알아볼 내용은
행렬식 - determinant
여인수 - cofactor
여인수 전개 - cofactor expansion
입니다.
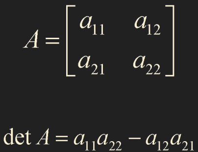
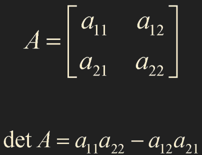
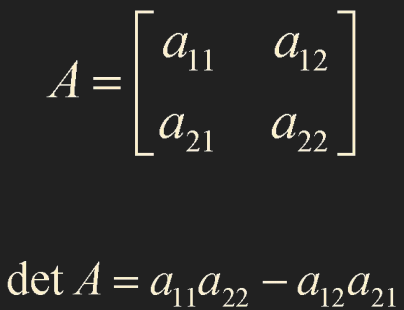
1. 2 x 2 Matirx
2장에서 배운 것을 복습하면 2 x 2 행렬에서의 determinant가 nonzero이면 invertible입니다.

2. 3 x 3 역행렬이 존재하는 행렬 - 3 x 3 invertible matrix
2 x 2 행렬의 determinant를 구하는 건 비교적 쉽습니다.
3 x 3 이상 행렬 부터는 determinant를 구하는 것이 복잡해집니다.
determinant가 0이 아닌 것의 의미는 모든 row에 pivot이 존재한다는 의미입니다.
따라서 row reduction을 진행하고 모든 pivot이 nonzero임을 확인하면 됩니다.


여기서 $\triangle$은 다음과 같습니다.

A가 invertible이므로 $\triangle$은 nonzero이어야만 합니다.
2 x 2 matrix에서 determinante는 아래와 같으므로 $\triangle$을 다음과 같이 표기할 수 있습니다.



$A_{13}$은 1th row와 3th column을 제외한 요소들을 의미합니다.

A가 위와 같이 주어졌을 때 $A_{32}$은 다음과 같이 표기할 수 있습니다.

3th row와 2th column을 제거하면 아래와 같이 됩니다.

3. 행렬식 - Determinant
2 x 2 이상 matrix 일때 determinant 결정 방법은 다음과 같습니다.

determinant의 정의는 다음과 같습니다.

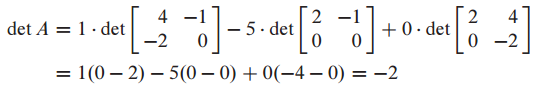
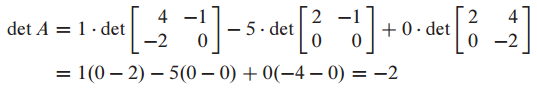
예시 문제를 한번 살펴보겠습니다.
A 행렬이 주어졌을 때 determinant를 계산하는 문제입니다.



determinant를 간단히 표현하면 아래와 같이 표현할 수 있습니다.

4. 여인수 - Cofactor
cofactor를 이용해서 determinant를 여러가지 형태로 표현할 수 있습니다.


이를 여인수 전개(cofactor expansion)라고 합니다.
cofactor의 부호는 $(-1)^{i+j}$는 다음과 같은 규칙을 갖습니다.

5. 이론 1 - Theorem 1

cofactor expansion을 이용하면 임의의 row와 column으로 determinant를 표현할 수 있습니다.
어떤 cofactor를 이용하더라도 결과는 동일합니다.
cofactor를 이용할 때 zero가 많은 row나 column을 기준으로 cofactor expansion을 이용하면 계산이 단순해집니다.
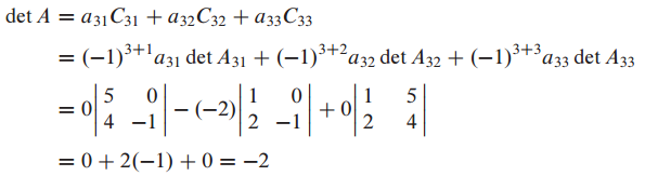
예시문제를 살펴보겠습니다.
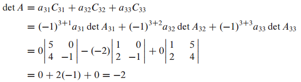
A가 주어졌을 때 det A를 cofactor expansion을 사용해서 계산하는 문제입니다.


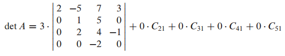
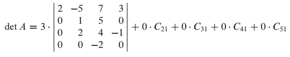
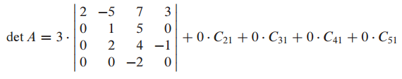
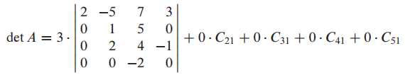
예시문제 2
0이 많이 구성되어 있는 matrix는 다음과 같이 cofactor expansion을 사용할 수 있습니다.

first column에 0이 제일 많으므로 이를 기준으로 cofactor expansion을 사용합니다.

first column에 0이 제일 많으므로 이를 이용합니다.


이처럼 0이 많은 row나 column을 이용하면 cofactor expansion을 유용하게 이용할 수 있습니다.
6. 이론 2 - Theorem 2

A가 삼각 행렬(triangular matrix)이면 det A는 A의 digonal term을 곱한 것입니다.

7. det EA = (det E)(det A)
E는 기본 행렬(elementary matirx)를 의미합니다.
det EA 는 (det E)(det A)와 동일합니다.

$E_1$은 interchange, $E_2$는 second row k scaling
$E_3$은 second row에 k scaling한 것을 first row에 더한 replacement
$E_4$는 first row에 k scaling 한 것을 second row에 더한 replacement를 의미합니다.
각각의 det은 다음과 같습니다.

det EA = (det E)(det A)를 증명하는 과정입니다.

8. 수치적인 메모 - Numerical Note

이는 cofactor expansion이 복잡하다는 내용입니다.
cofactor expansion으로 det를 구하는 연산은 n!이 소요되므로
det를 cofactor expansion으로 계산하는 것은 멍청한 짓이라는 말로 해석할 수 있습니다.
David C.Lay 의 Linear algebra and its application를 공부하면서 정리해보았습니다. 감사합니다.
