수학/확률론

[확률론] 확률의 공리와 기본 성질(Axioms and Basic Properties of Probability)

AI 꿈나무 2021. 1. 25. 16:53
반응형

 고려대학교 김성범 교수님의 확률/통계 강의와 교재 'Sheldon Ross, A First Course in Probability (10th edition)' 를 공부하고 정리한 내용입니다.

 

 


확률의 공리(Axioms of Probability)

 공리는 정해진 사실을 의미합니다. 이론은 증명을 해야하는데 공리는 정해진 사실이므로 증명할 필요가 없습니다. 그러면 확률의 공리에 대해 알아보도록 하겠습니다.

 

 사건 E에 대한 확률은 P(E)로 표기하고 다음과 같이 정의하겠습니다.

 

 P(E)는 다음의 공리를 만족합니다.

 

공리(1)

 P(E)는 0과 1사이 입니다.


공리 (2)

 표본 공간의 확률은 1입니다.


공리 (3)
 만약 사건 $E_1, E_2, ... $가 상호 배타($E_i \cap E_j = \phi$)이면 다음을 만족합니다.


 상호 배타(mutually exclusive)적인 집합들의 합집합의 확률은 각 사건의 확률의 합과 동일합니다.
 또한 모든 사건이 상호 배타적일 때, 적어도 1개의 사건이 발생할 확률은 모든 사건의 확률의 합으로 구합니다.


확률의 기본 성질(Basic Properties of Probability)

성질 1


성질 2


성질 3

 

예시 문제

 J가 2개의 책을 갖고 카페를 갑니다. 그녀가 첫 번째 책을 좋아할 확률(P(B1))은 0.5, 두 번째 책을 좋아할 확률(P(B2))은 0.4, 두 책을 모두 좋아할 확률은 P(B1B2) = 0.3이라고 가정해보겠습니다. 이때, 두 책을 싫어할 확률은 어떻게 구할 수 있을 까요??

 

 

 이처럼 포함 배제 원리로 합집합을 구한 다음에 여집합을 구하면 풀 수 있습니다.

 

 포함 배제 원리에 대해 더 알아보도록 하겠습니다.

 


포함-배제(Inclusion-exclusion) 원리

 여러 확률의 합집합을 구할 때, 포함 배제 포함 배제가 반복되어서 포함-배제 원리라고 부릅니다.

 세 개의 사건의 합집합을 구하는 경우를 알아보겠습니다.

 

 

 P(E) + P(F) + P(G) 는 포함

 - P(EF) - P(EG) - P(FG) 는 배제

 P(EFG)는 포함

 

 이처럼 포함, 배제, 포함이 반복됩니다.

 이를 확장하면 다음과 같은 수식을 얻을 수 있습니다.

 

 


동일한 가능성이 있는 결과를 갖는 표본 공간(Sample Spaces Having Equally Outcomes)

 많은 실험에서 표본 공간에서의 결과가 발생할  확률이 동일하다고 자연스럽게 가정합니다. 각 결과가 동일한 확률로 발생할 때 문제가 쉽게 풀리는 경향이 있습니다. 표본 공간 S = {1, 2, ... ,N}을 고려해 보겠습니다.

 

 

 이처럼 모든 결과가 발생할 확률이 동일하다면 사건의 확률은 사건에 존재하는 결과의 수 / 표본 공간에서의 결과의 수로 구할 수 있습니다.

 

 

예시 문제 1

 주 사위 두개를 던질 때, 주사위의 합이 7인 확률은 어떻게 될까요?

 

 주사위의 합이 7인 사건은 E = {(1,6), (2,5), (3,4), (4,3), (5,2), (6,1)} 입니다.

 해당 사건의 수가 6이고 전체 표본 공간의 수는 36개이므로 확률은 다음과 같이 구할 수 있습니다.

 

 

예시 문제 2

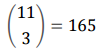
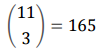
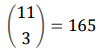
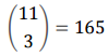
 남자 6명과 여자 5명으로 이루어진 11명의 그룹에서 3명을 임의로 선택할 때, 1명의 남자와 2명의 여자가 선택될 확률은 어떻게 구할 수 있을 까요??

 

 조합으로 풀 수 있습니다. 전체 확률은 11명중 3명을 선택하는 확률이고 다음과 같이 구할 수 있습니다.

 그리고 6명의 남자에서 1명의 남자를 선택하는 확률과 5명의 여자에서 2명의 여자를 선택하는 확률은 다음과 같습니다.

 

 최종적으로 다음과 같이 구할 수 있습니다.

반응형