반응형
고려대학교 김성범 교수님의 확률/통계 강의와 교재 'Sheldon Ross, A First Course in Probability (10th edition)' 를 공부하고 정리한 내용입니다.

김성범 교수님 강의에서 6가지 이산형 확률분포를 다루고 있습니다.
(1) 베르누이 분포
(2) 이항 분포
(3) 포아송 분포
(4) 기하 분포
(5) 음이항 분포
(6) 초기하 분포
순서대로 살펴보도록 하겠습니다. 우선 베르누이 분포입니다.
이산형 확률분포 - 베르누이 분포(Bernoulli Distribution)
두 개의 값만 갖는 확률 변수 X를 생각해보겠습니다.
1 = '성공'
0 = '실패'
X는 위 두개의 값만 갖습니다. X = {0, 1}
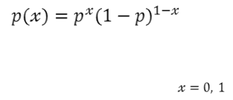
이 경우에 X의 확률질량함수는 다음과 같이 정의할 수 있습니다.

여기서 p는 성공확률이고 (1-p)는 실패확률 입니다.
그리고 p의 범위는 0과 1사이 입니다.
이렇게 정의된 확률 변수 X를 베르누이 확률 변수라고 부릅니다.
베르누이 확률 변수는 (1,p)를 모수로 갖습니다.
모수는 확률 분포의 모양을 결정하는 중요한 값입니다.
베르누이 확률분포는 베르누이 함수로 정의되는 확률들의 패턴입니다.
베르누이 분포의 기대값과 분산
기대값 E[X] = p
분산 Var[X] = p(1-p)
베르누이 분포는 굉장히 간단하면서도 일상생활에서 주로 이용하고 있습니다.
반응형
'수학 > 확률론' 카테고리의 다른 글
| [확률론] 이산형 확률분포 - 포아송 분포 (0) | 2021.02.10 |
|---|---|
| [확률론] 이산형 확률분포 - 이항분포 (0) | 2021.02.08 |
| [확률론] 분산과 표준편차 (2) | 2021.02.06 |
| [확률론] 기댓값(Expectation) (1) | 2021.02.05 |
| [확률론] 확률변수와 확률함수 (1) | 2021.02.01 |